1 引言
紡織印染行業廢水具有排放量大、水質變化大、有機物濃度高、色度高等特點,其處理相對復雜.近年來,由于水資源的緊缺,眾多環保學者在印染廢水回用領域進行了大量研究.
為了保證印染廢水出水的穩定達標和中水回用,雙膜法成為印染廢水處理領域深度處理最為常用的處理技術,研究表明,全國75%以上的印染企業利用雙膜法作為深度處理技術.雙膜法技術包括超濾和反滲透(RO)兩種膜處理技術.RO出水包括淡水和濃水,其中,淡水可直接排放或完全回用于印染工序,濃水由于鹽度高、含一定濃度的難降解有機物和硬度,不僅不能直接排放,而且處理相當困難.目前,針對印染反滲透濃水(ROC)的主要處理措施有直接排放處理、回流二次處理和膜蒸餾技術.直接排放處理一般是指直接排入海洋,是最為常用的濃水處理技術,但此技術受到地理位置限制,在廣大內陸等離海岸較遠的地區不宜推廣.回流二次處理是指將濃水回流至水處理系統的前處理段,再次進入水處理系統進行二次處理,這樣使濃水中的難降解有機物和高鹽度物質得不到外排,長期回流會導致生化系統鹽分逐漸積累,微生物活性降低并最終導致生物處理系統的崩潰.膜蒸餾技術是一種膜技術與蒸餾技術相結合的膜分離技術,可以實現濃水和鹽分的完全回收,但該技術耗能太高,大部分企業很難承受.另外,汪曉軍等采用Fenton氧化結合石灰蘇打處理印染ROC,實現了印染ROC的完全回用,但由于Fenton氧化技術處理過程中有可能帶入印染需嚴格限制的Fe2+,因此,需要后續設置絮凝沉淀池以完全去除出水中的Fe2+.鑒于現有各濃水處理工藝的不足,亟需開發一種新的處理工藝解決地理位置受限、處理成本過高及處理工藝復雜等難題.
過硫酸鹽(PS)氧化作為一種新型的高級氧化技術近年來在環境領域逐漸受到研究人員的關注.在常溫條件下,PS是一種較為溫和的氧化劑,反應速率較慢.當PS受到外界條件如熱、微波、過渡金屬離子作用時容易被活化,產生氧化性更強的硫酸根自由基(SO· -4),其標準氧化還原電位E0=2.60 V,高于PS的E0=2.01 V.相應的反應原理如下:

pH對PS降解有機物有一定的影響,楊照榮等的研究表明,PS的氧化能力在堿性條件下比酸性和中性條件下較強,因為在堿性條件下硫酸根自由基會生成氧化能力更強的羥基自由基(· OH,E0=2.80 V),反應如下:
![]()
除pH外,初始PS投加量、反應溫度都是影響PS氧化反應的重要影響因素.PS氧化鎮痛藥(立痛定)的研究表明,有機物的氧化速率在一定初始PS范圍內隨初始PS用量的增加而加快.溫度的提升大大提高了PS分解垃圾滲濾液中腐殖酸的速率,溫度從90 ℃上升到150 ℃時,有機物去除率從63.5%上升到76.0%,溫度繼續上升到170 ℃,有機物去除率上升到78.8%.
石灰蘇打軟水技術是廢水處理領域最為傳統的脫硬度技術.印染用水中硬度過高會造成染料在染色織物表面分配的不均勻性,同時降低染色織物的色牢度,是印染回用水嚴格規定的水質指標.采用石灰軟化和微濾工藝處理某熱電廠的循環冷卻排污水的研究表明,石灰軟化可大大降低廢水的硬度和堿度,出水完全滿足回用要求.
本研究結合印染ROC水質特點及印染回用時需補充大量硫酸鈉作為印染助劑的要求,將PS氧化和石灰蘇打軟水技術聯合應用于印染ROC處理過程中.首先利用條件實驗和正交試驗研究PS氧化去除印染ROC難降解有機物的影響因素,包括反應pH、初始PS投加量和反應溫度等條件,研究有機物降解的動力學模型;其次分析PS氧化前后無機組分和有機組分;最后確定石灰蘇打脫硬度的最佳的石灰和蘇打藥劑投加量組合.
2 材料與方法
2.1 印染廢水ROC
印染ROC取自佛山市西樵鎮某紡織有限公司,廢水總排放量60000 m3 · d-1,ROC排放量約20000 m3 · d-1.原水水質:CODCr為112.5 mg · L-1,BOD5/CODCr為0.05,TOC為34.0~35.6 mg · L-1,SO42約9600 mg · L-1,CO32約1500 mg · L-1,Cl-約650 mg · L-1,pH為8.3~8.8.
2.2 主要儀器和藥品
pHs-3c便攜式pH計(上海精密科學儀器有限公司);COD快速密閉消解測定儀(廣東,韶關);BOD測定儀(美國,HACH);電子天平,恒溫振蕩器(上海精密科學儀器有限公司);離子色譜儀ICS-1600(美國,戴安);TOC測定分析儀TOC-LCPH/CPN(日本,島津);PS、磷酸二氫鈉、石灰和蘇打等藥劑均為分析純(天津科密歐化學試劑有限公司).
2.3 試驗方法及條件
有機物降解:取100 mL ROC于250 mL的錐形瓶中,加入0.3 g磷酸二氫鈉緩沖溶液,以10%的H2SO4和10%的NaOH調節pH值,加入一定量的過硫酸鈉,錐形瓶置于恒溫振蕩器中,一定溫度條件下完成活化氧化反應.
硬度脫除:取200 mL經過硫酸鈉氧化處理后的濃水,投加一定濃度的石灰并在120 r · min-1條件下攪拌反應10 min;加入一定濃度的蘇打,120 r · min-1下攪拌反應15 min,靜置沉淀30 min,取上清液測定出水硬度.
2.4 檢測項目和分析方法
COD采用快速密閉消解法(HJ/T 399—2007)測定,BOD5采用稀釋接種法測定,TOC采用燃燒氧化-非分散紅外吸收法(HJ 501-2009)測定,硬度測定采用鍋爐用水和冷卻水分析方法中硬度的測定方法(GB/T 6909—2008),硫酸鹽和氯離子采用離子色譜法測定,碳酸鹽采用標準鹽酸滴定法測定,以酚酞和甲基橙作指示劑.
采用SPSS 18統計分析軟件在95%置信區間做方差分析,進行差異顯著性檢驗,采用Origin 8.0對數據作圖.
3 結果與討論
3.1 PS氧化單因素試驗研究
3.1.1 pH對PS氧化印染ROC的影響
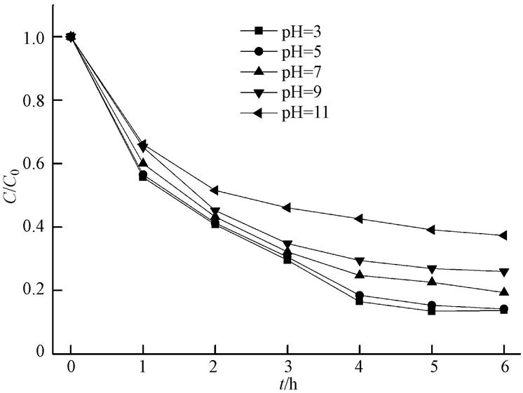
不同pH條件對PS熱活化處理印染ROC的影響如圖 1所示,其中,ROC的初始COD為115.2 mg · L-1,反應溫度為75 ℃,過硫酸鈉的初始濃度為1000 mg · L-1,振蕩速度為60 r · min-1.由圖 1可以看出,在pH為5時,4 h的反應時間內溶液的COD由112 mg · L-1降低到21.3 mg · L-1,有機物的去除率達到81.6%.當溶液的pH從5.0 降低至3.0 時,有機物降解率增加不顯著(p>0.05),考慮到后續出水回調影響成本,確定反應體系適宜的pH條件為5.0.在任意試驗pH條件下,在4~6 h的反應時間內,溶液的COD變化不明顯(p>0.05),表明在4 h反應時間內,有機物的降解已基本完成.另外,當pH>5.0時,印染ROC的有機物降解速率隨反應體系pH的升高而逐漸降低(p<0.05),表明酸性條件相對于中性和堿性條件更有利于PS對ROC中有機物的降解.本實驗的研究結果與常溫條件下活性炭活化PS氧化偶氮染料酸橙7的研究結果相一致,這可能是由于酸性條件下PS更容易產生SO· -4,而SO· -4在PS氧化印染RO濃水中的有機物過程中起到了重要作用.
?圖1 pH對PS氧化印染RO濃水中有機物去除效果的影響
3.1.2 初始PS濃度對PS氧化的影響
在溫度75 ℃、pH=5的條件下研究了不同初始PS濃度(200~2000 mg · L-1)對ROC中有機物氧化的影響,結果見圖 2.當初始PS濃度從200 mg · L-1上升到1000 mg · L-1時,4 h的反應時間內溶液的COD由98.3 mg · L-1降低至21.5 mg · L-1,表明初始PS濃度對印染ROC中難降解有機物的降解有很大影響,印染ROC中難降解有機物的降解速率隨PS初始濃度的升高而逐漸升高(p<0.05).當初始PS濃度由1000 mg · L-1升高到2000 mg · L-1時,溶液的COD變化不明顯(p>0.05),表明1000 mg · L-1的初始PS濃度產生的SO4· -和· OH已基本上能滿足印染ROC中難降解有機物的分解,過量的初始PS量不僅不能增加難降解有機物的降解速率,而且會造成PS的浪費,因此,確定本反應體系最佳的PS初始濃度為1000 mg · L-1.本研究的結果與酸活化PS氧化敵草隆的結果一致,有機物的降解速率隨初始PS濃度的升高而升高,當初始PS濃度增加到一定濃度時,有機物(敵草隆)的降解速率升高不顯著.這可能是由于適量的PS產生了足夠反應體系內有機物氧化產生SO· -4和· OH,過量的PS由于被還原后生成了大量的SO42對PS氧化的抑制作用.
?圖2 初始PS濃度對PS氧化印染RO濃水中有機物去除效果的影響
3.1.3 溫度對PS氧化的影響
溫度是影響PS活化氧化有機物的一個重要因素,溫度對PS氧化ROC中有機物的影響效果見圖 3,在最適宜的pH和初始PS濃度條件下,選擇溫度65~80 ℃進行活化.在4 h的反應時間內,ROC的COD在65、70、75和80 ℃條件下從112 mg · L-1分別降低到84.7、42.5、21.5和19.8 mg · L-1,表明ROC的有機物去除效率隨反應溫度的增加而增加(p<0.05).溫度由75 ℃增加到80 ℃時,ROC的COD在反應的4~6 h內,COD變化不大(p>0.05),表明在此反應體系內,75 ℃溫度可以快速活化PS,考慮到經濟成本,確定本研究的適宜的活化溫度為75 ℃.

?圖3 溫度對PS氧化印染ROC的影響
不同溫度下PS活化氧化ROC有機物的過程符合一級降解動力學,反應數率常數分別為0.0682 h-1(R2=0.95,65 ℃)、0.2031 h-1(R2=0.96,70 ℃)和0.3148 h-1(R2=0.95,75 ℃).反應速率常數隨溫度升高不斷增大.這可能是由于反應溫度越高,PS中的O—O越容易斷裂,產生的自由基就越多,對氧化難降解有機物越有利.這與熱激活PS降解卡馬西平和奧卡西平的研究相類似,表明溫度的升高更有利于PS的活化和體系中難降解有機物的分解.
3.2 PS氧化正交試驗研究
在單因素實驗基礎上利用正交試驗進行實驗優化,采用3因素3位級正交試驗,正交試驗方案與試驗結果分析見表 1和表 2.由表 1和表 2可確定PS氧化反應中各因素對有機物去除率影響的強弱順序為:溫度>初始PS濃度>pH.其中,溫度的極差為0.36,高于其他因素,是影響有機物去除效果的主要因素.由此得到最適宜的PS氧化條件為:pH為5.0,初始PS濃度為1000 mg · L-1,反應溫度為75 ℃.

?表1 正交試驗方案與結果
?
表2 正交試驗計算分析表
通過條件試驗研究表明,PS氧化處理印染廢水ROC的適宜條件為:pH為5.0,初始PS濃度為1000 mg · L-1,反應溫度為75 ℃;正交優化試驗研究表明,PS氧化處理印染廢水ROC的最適宜條件和條件試驗完全一致,表明在此條件下利用PS處理印染ROC可以達到較好的有機物去除效果.
3.3 PS反應過程中各組分的變化
PS氧化反應過程中由于投加PS氧化廢水中的難降解有機物,反應過程中溶液的各組分發生了變化,主要包括無機和有機成分的變化.無機組分的變化主要是指ROC中的硫酸鈉隨著反應的持續進行濃度不斷升高.從圖 4可以看出,在投加1000 mg · L-1的PS條件下,6 h后出水硫酸根的濃度上升到10350 mg · L-1,出水回用于印染工藝,濃水中的高濃度硫酸鹽不僅沒有浪費,而且得到提升并作為染色助劑應用,減少染色工藝投加硫酸鈉10 g · L-1以上,硫酸鈉市場成本為0.68元· kg-1,節約成本6.8元· m-3.有機組分的變化主要是指ROC中的難降解有機物在PS作用下不斷礦化的過程.ROC中的TOC在4 h的反應時間內降低到1.0 mg · L-1以下,表明經PS氧化后廢水中的難降解有機物數量明顯減少,實現了難降解有機物的基本礦化.
?圖4 PS反應前后硫酸根和TOC的變化
3.4 石灰蘇打軟化印染ROC研究
3.4.1 石灰投加量的影響
石灰可以有效脫除水體中的鎂離子,其相應的反應方程式如下:

由于Mg(OH)2的Ksp(1.8×10-11)比Ca(OH)2的Ksp(5.5×10-6)小5個數量級,石灰投加入溶液中以后,生成更難溶的Mg(OH)2沉淀使溶液中的鎂離子得到去除(蔡明招等,2009).溶液中的總硬度、鈣硬度、鎂硬度和pH隨石灰投加量的變化見圖 4.總硬度、鈣硬度和溶液的pH隨石灰投加量的增加不斷增加,相反地,鎂硬度卻在不斷降低.當石灰的投加量增加到150 mg · L-1時,溶液的pH達到10.2,鎂硬度降低到1.2 mg · L-1,繼續投加石灰,鎂硬度變化不大(p>0.05),表明石灰投加量已滿足溶液中Mg2+的去除,確定此反應體系適宜的石灰投加量為150 mg · L-1.
?圖5 石灰投加量對硬度和pH的影響
3.4.2 蘇打投加量的影響
蘇打即無水Na2CO3,蘇打可以和溶液中的Ca2+結合生成難溶的白色沉淀碳酸鈣,碳酸鈣的Ksp僅為4.8×10-9,可以有效降低溶液中的Ca2+硬度.ROC濃水中總硬度、Ca2+硬度、Mg2+硬度和總硬度去除率隨蘇打投加量增加的變化見圖 6.由圖 6可知,蘇打投加量從0 mg · L-1增加到800 mg · L-1時,總硬度和Ca2+硬度急劇下降至16.5 mg · L-1,總硬度去除率達到83.6%,蘇打投加量繼續增加,總硬度和Ca2+硬度變化不大(p>0.05).由于印染用水標準明確規定回用水的總硬度小于17.5 mg · L-1(崔家琪,2013),確定適宜的蘇打投加量為800 mg · L-1.
?圖6 蘇打投加量對硬度和總硬度去除率的影響
3.5 運行成本分析
在實驗室小試基礎上進行成本分析,PS-石灰蘇打處理印染ROC的主要處理費用包括加熱費用、藥劑投加費用、電費及自來水和印染過程硫酸鈉節省費用.以空氣源熱泵加熱印染廢水ROC提升溫度50 ℃(25~75 ℃),噸水成本10.0 元,噸水投加過硫酸鈉、石灰和蘇打成本5.06元,處理1 t濃水可節約自來水成本3.50元,印染節省硫酸鈉成本6.80元以上,合計噸水處理成本4.76元.同膜蒸餾-化學氧化技術處理反滲透濃水(10.50元· m-3)相比具有明顯的經濟優勢和實用價值.
經PS氧化-石灰蘇打處理后的出水作為印染介質進行染色試驗,在硬度滿足印染回用水前提下(<17.5 mg · L-1),COD<21.5 mg · L-1時染色織物的各性能完全滿足印染要求,表明本工藝處理印染ROC濃水可實現其完全回用.具體參見 污水處理技術資料或污水技術資料更多相關技術文檔。
4 結論
1)PS氧化-石灰蘇打技術可以有效去除印染ROC中的難降解有機物和硬度,經適當處理后出水可實現回用于染色工序.
2)酸性條件有利于PS氧化處理印染ROC中的難降解有機物,最適宜的初始PS投加量為1000 mg · L-1,最適宜的活化溫度為75 ℃,氧化反應過程符合一級準動力學方程.
3)PS氧化反應前后,溶液中無機和有機組分發生明顯變化,硫酸鈉濃度得到進一步提升,大大節省了印染工序投加量和印染成本,難降解有機物基本完成礦化.
4)150 mg · L-1的石灰投加量和800 mg · L-1的蘇打投加量可以將廢水的硬度降低至17.5 mg · L-1以下,出水滿足印染回用水要求.
?
?
?
?
?