垃圾是現代城市生活和社會生產的產物,滲濾液是垃圾衛生填埋的副產物. 垃圾在堆放和填埋過程中由于發酵、 雨水淋刷和地表水、 地下水浸泡而滲濾出來的污水被稱為垃圾滲濾液. 因成分復雜,含有大量難降解有機物、 高濃度的氨氮和重金屬[1, 2, 3],垃圾滲濾液的處理問題至今困擾著世界.
生物活性炭(biological activated carbon,BAC)是20世紀70年代發展起來的一種新型水處理技術,它是在活性炭技術的基礎上發展而來的. 活性炭巨大的表面積和發達的孔隙結構,是微生物生長繁殖的良好載體[4, 5],為微生物提供了一個有利的環境[6]. BAC能夠獲得比傳統生物處理技術更高的處理效果,常與其他技術聯用處理難降解廢水[7, 8, 9]. 但是,BAC去除廢水中有機物機制的解釋尚未達成一致[10, 11, 12],影響BAC運行效果的因素尚不清楚,工程應用受到制約,阻礙了垃圾滲濾液處理技術的發展.
本研究比較了不同BAC投加量對垃圾滲濾液COD去除率的影響,以 CO2產生量量化微生物分解有機物量,分析BAC投加量影響處理效果的原因,以期為認識BAC去除有機物機制和BAC工藝的應用提供支持.
1 材料與方法
1.1 試驗材料與分析方法
試驗所用垃圾滲濾液取自某城市垃圾填埋場滲濾液調節池,原水COD濃度2605 mg ·L-1,BOD5濃度292 mg ·L-1,pH值8.3~8.5. 垃圾滲濾液稀釋使用,每升稀釋后的試驗用水加入適量 KH2PO4補充磷源,使用稀硫酸調整pH為7.0~7.5.
試驗所用活性污泥取自城市生活污水處理廠,在SBR(sequencing batch reactor)反應器中馴化,每天運行兩個周期,每個周期12 h,進水期、 反應期、 沉降期、 排水期和閑置期的時間分別為0.5、 8、 1、 0.5、 2 h. MLSS為3243 mg ·L-1,SV30 為25%,泥水比1 ∶1.
試驗使用柱狀活性炭,直徑4 mm,堆積密度300 g ·L-1. 使用前用蒸餾水清洗以去除活性炭表面的雜質.
COD采用快速消解法測定,BOD5采用五日培養法測定,pH值采用PHS-2S型精密pH酸度計測定.
1.2 甲烷測定
甲烷濃度采用Agilent6890氣相色譜測定,柱子型號HP-5,檢測器FID,檢測器溫度250℃,進樣口溫度100℃,柱子溫度40℃,進樣量3 μL,分流比4 ∶1. 甲烷色譜圖如圖 1,采用外標法進行定量分析,標準曲線如圖 2,檢出限18 ng.


圖 2 甲烷工作曲線
1.3 SBR反應器和BAC反應器
取3個體積為5 L的燒杯作為反應器,分別加入馴化好的活性污泥和不同重量的活性炭,投加量如表 1所示. 其中,A為SBR反應器,B、 C為BAC反應器. 3個反應器按照相同的方式運行,時間分配與活性污泥馴化期間保持一致,每周期測定不同反應器的進、 出水COD濃度.
)

表 1 反應器中活性污泥與活性炭投加量
1.4 CO2產生量的測定
1.4.1 反應器內CO2濃度的測定
CO2濃度測定裝置如圖 3所示,由反應器,干燥瓶和CO2濃度測定儀三部分組成,反應器工作體積5 L. 排放氣體經干燥后排出,一部分進入CO2濃度測定儀,多余部分排入空氣.
1.4.2 反應器內CO2產生量的測定
反應開始前,反應器內不投加任何物質,通入高純氮氣(99.99%)或純氧氣(以下簡稱為氮氣和氧氣),以排除反應器內的殘余CO2,控制氣體流量為60 L ·h-1,待反應器內CO2濃度穩定后,快速加入待測混合液,連續測定系統內CO2濃度的變化,每12 s記錄一個濃度數值.

圖 3 CO2濃度測定裝置示意
反應過程中CO2產生量計算如公式(1).
式中,Q:CO2產生量,mg; c0:反應開始前系統穩定狀態的CO2濃度,mg ·L-1; ci:反應過程中,儀器記錄的第i個CO2濃度數值,mg ·L-1; n:儀器記錄CO2濃度數值的個數; Δt:CO2濃度記錄時間間隔,s; q:曝氣氣體流量,L ·s-1.
1.4.3 生物降解有機物CO2產生量的計算
氮氣作為系統進氣時,好氧微生物分解有機物產生CO2的反應不能順利進行,在此條件下測得的CO2量為非生物作用的釋放量,記做QN,可通過公式(1)計算得到.
氧氣作為系統進氣時,測得的CO2產生量,記做QO,可通過公式(1)計算得到. QO包括兩部分,一部分為生物降解有機物釋放的CO2量,另一部分為非生物作用釋放的CO2量.
QO與QN的差值為生物降解有機物CO2產生量,記做QB,可通過公式(2)計算得到.
2 結果與討論
2.1 BAC投加量對垃圾滲濾液COD去除率的影響
2.1.1 SBR反應器與BAC反應器的比較
試驗連續運行100個周期,進出水COD平均值和去除率平均值如表 2所示. A反應器COD平均去除率為12.9%,與文獻中報道填埋年限較長的垃圾滲濾液中易降解有機物大約10%左右的試驗結果相近[13]. 垃圾滲濾液的生化性差,且含有大量抑制微生物生長的有毒物質,這是SBR法處理效果不高的主要原因[14, 15].
B反應器和C反應器的COD去除效果均優于A反應器. 表明BAC可以去除部分難降解有機物,這與Imai等[16]的研究結果一致. 分析原因,BAC反應器在運行過程中,活性炭可吸附水體中的多種有機物與有毒有害物質,同時為微生物的生長繁殖提供有利條件[6, 17],延長有機物和微生物的停留時間,使得BAC反應器處理效果優于SBR反應器.

表 2 不同反應器100個周期進、 出水COD平均值和COD去除率平均值
2.1.2 BAC投加量對COD去除率的影響
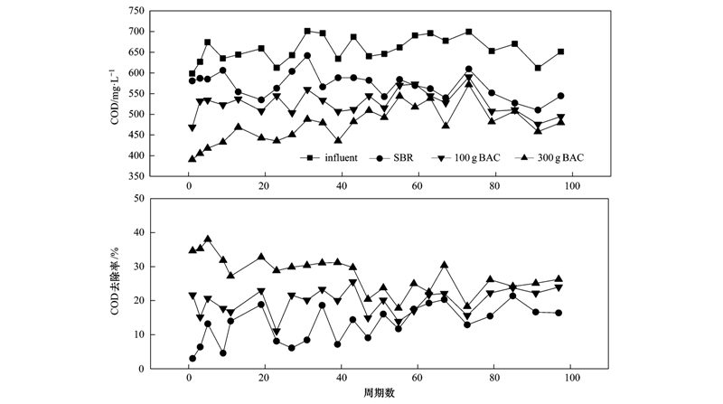
A、 B、 C反應器連續運行100個周期的進水和出水COD如圖 4所示,投加量最大的C反應器COD去除率最高,無活性炭投加的A反應器COD去除率最低,B反應器處理效果位于A、 C反應器之間,結合表 2數據可以得到COD的去除率與活性炭投加量呈正相關關系.
觀察圖 4中3個反應器COD去除率隨運行周期數的變化,可以發現,在運行初期的1~40周期,COD去除率差別較大,投加量最大的C反應器COD去除率能夠保持在30%左右,A反應器的COD去除率最低,B反應器處理效果位于A、 C反應器之間. 由此可見,在運行初期,活性炭投加量對BAC的處理效果具有較大影響. 結合試驗條件,運行初期,活性污泥量相同,可以認為生物分解能力基本一致. 活性炭吸附容量與投加量呈正相關關系,因此吸附作用是導致COD去除率與活性炭投加量呈正相關關系的主要原因,分析認為運行初期BAC反應器內活性炭吸附作用占主導地位.
隨著運行周期數的增加,在41~80周期中,B、 C反應器COD去除率波動較大. 圖 4可見,進水COD曲線平穩,可以排除進水濃度波動的影響,暗示出水COD波動是系統內部原因所致,處于重新建立平衡階段. A反應器COD去除率略有上升,可能與污泥中微生物進一步適應環境有關. C反應器的COD去除率在41周期以后逐漸下降,與其他兩個反應器比較,優勢縮小,與活性炭吸附容量逐漸下降趨勢一致. B反應器COD去除率基本保持穩定,由于活性炭投加量小,受吸附作用下降的影響較小. 由此可見,隨運行周期數增加活性炭的吸附作用對BAC處理效果的影響逐漸減弱. 但是,COD去除率仍然與BAC投加量呈正相關關系,試驗結果如圖 4.
在81~100周期中,各反應器的COD去除率穩定,表明活性炭的吸附容量已經趨于飽和,系統的處理能力也達到新的平衡,可以認為BAC反應器運行進入穩定階段. 比較3個反應器的處理效果,仍能清楚地觀察到C反應器COD去除率最高,A反應器COD去除率最低,B反應器COD去除率處于二者之間. 表明在穩定階段,活性炭投加量依然影響BAC反應器的處理效果,暗示不僅僅活性炭吸附作用影響處理效果,必定還存在其他方面的因素.

圖 4 A、 B、 C反應器進出水COD值和COD去除率
2.2 BAC投加量對生物降解作用的影響 2.2.1 生物降解有機物CO2產生量測定
穩定運行階段,A、 B、 C反應器氮氣和氧氣曝氣CO2濃度變化如圖 5所示,曲線具有相同的特征. 0 s處CO2濃度處于1~1.8 mg ·L-1之間,由于此時反應器內尚未投加混合液,CO2濃度值是由空反應器中氣體引起,隨后快速下降并穩定在0.8 mg ·L-1左右,說明反應器中殘余CO2已經排空. 加入混合液后,CO2濃度有一個明顯的峰出現,然后,隨曝氣時間的延長,逐漸下降并趨于穩定.
氮氣曝氣條件下,為檢驗是否發生厭氧微生物利用碳源產生甲烷和CO2的反應,在8 h曝氣過程中,每間隔1 h取樣測定,A、 B、 C反應器均未檢出甲烷,表明在長期好氧工況下運行,一個周期(8 h)的氮氣曝氣并沒有使厭氧菌馴化增殖,未發生厭氧分解. 氮氣曝氣條件下,好氧微生物無法獲得氧氣,好氧呼吸受到抑制,并且,氮氣曝氣消除了曝氣氣體中CO2的影響. Campos等[18]報道垃圾滲濾液中碳酸氫銨可以釋放出CO2,因此,加入混合液后CO2濃度突然增大,可以認為是混合液中溶存CO2被吹脫出來. 隨曝氣時間的延長,CO2濃度降低,直至降低到接近加入混合液前的水平,完成吹脫過程.

圖 5 A、 B、 C反應器氮氣和氧氣曝氣CO2濃度變化
氧氣曝氣條件下,消除了曝氣氣體中CO2的影響,氧氣曝氣曲線可以認為包含生物分解CO2部分和混合液中溶存CO2部分. 加入混合液后,溶存CO2開始被吹脫出來,同時廢水中有機物開始被微生物分解放出CO2,二者疊加,出現較高的峰值,隨后CO2濃度快速下降. 參考氮氣曝氣曲線,可以認為由于溶存部分的CO2貢獻量減少引起峰值下降,A、 B、 C反應器CO2濃度曲線,都表現出氧氣曝氣高于氮氣曝氣的結果,說明峰值下降以后,生物分解是CO2濃度居于高位的主要原因.
利用公式(1)和(2)計算3個反應器曝氣8 h的CO2產生量,結果如表 3,可以得到生物降解有機物CO2產生量與BAC投加量呈正相關關系.
2.2.2 BAC投加量對生物降解作用的影響
進一步分析表 3數據,A、 B反應器中非生物作用釋放的CO2量QN比較接近,與B反應器中BAC投加量較少有關. C反應器中QN達到636 mg,表明BAC投加量直接影響QN值. 但是,隨著BAC投加量的增加,QO值上升量更大,因此,兩者相減得到的QB也呈上升趨勢. 可以得到,生物降解產生的CO2量隨BAC投加量的增加而增加的結果,即微生物降解有機物的量與BAC投加量呈正相關關系.

表 3 A、 B、 C反應器生物降解有機物CO2產生量
B、 C反應器QB值大于A反應器QB值的試驗結果顯示BAC反應器生物降解了更多有機物,表明BAC反應器COD去除效果優于SBR反應器的原因中存在生物降解能力提高的因素. 簡言之,BAC可以生物分解部分SBR難降解有機物. 進一步比較,BAC投加量大的反應器比投加量小的反應器每周期降解有機物量更多,BAC投加量是影響有機物去除效果一個重要因素. 增加BAC投加量對COD去除效果的提升不僅僅來自于吸附容量的提升,微生物降解有機物的量也得到提高.
2.3 BAC投加量影響垃圾滲濾液處理效果原因分析
從吸附容量的角度可以較好地解釋反應器運行初期有機物去除率與投加量呈正相關關系的原因[19],但穩定運行階段,有機物去除率與投加量也呈正相關關系,這個試驗現象需要從BAC去除有機物機制的角度進行解釋.
2.3.1 生物再生
在BAC系統中,微生物不僅可以降解水體中的有機物,還可以降解部分吸附在活性炭上的有機物,使活性炭的吸附能力得到恢復,這種現象被稱作生物再生[20]. 雖然生物再生的確切機制尚無定論[21],但微生物可以使活性炭發生生物再生的事實已被廣泛接受[22, 23, 24].
BAC投加量不同的反應器吸附容量不同. 投加量越大,吸附容量越大,吸附在活性炭表面的有機物量越多,可為微生物提供更多的基質,供其降解. CO2產生量的數據證實了這一點,如表 3,C反應器內有機物降解總量最大,產生的CO2量最多. 相應地,BAC投加量大的反應器,其生物再生量較大,恢復的吸附容量大于投加量小的反應器. 再生后的活性炭又可以繼續吸附水中有機物,吸附作用與生物降解作用相互促進,BAC投加量大的C反應器對垃圾滲濾液中COD的去除效果最好,試驗結果如圖 4和表 2. 所以,生物再生是BAC能夠生物分解SBR難降解有機物的根本原因.
2.3.2 難降解有機物的去除
垃圾滲濾液成分復雜,SBR反應器在一個周期內的COD去除率僅為12.9%,表明垃圾滲濾液中存在大量難降解有機物. BAC可吸附水體中的一部分難降解有機物,延長有機物與微生物的接觸時間. 對于大多數有機物,延長接觸時間可增加降解量[20, 25]. 因此BAC反應器可降解部分由于運行時間短SBR反應器降解量較少的難降解有機物,提高了有機物降解總量.
反應器吸附容量增大可以延長有機物停留時間,進而可以使更多的有機物得到降解,BAC投加量大的反應器吸附和生物分解去除的難降解有機物量更多. 因此在穩定運行階段,BAC投加量大的反應器垃圾滲濾液的處理效果優于投加量小的反應器. 由于生物再生是通過吸附間接發生作用,所以,穩定運行階段,3個反應器的去除率差別縮小,試驗結果如圖 4. 但是,垃圾滲濾液的處理效果與BAC投加量的正相關關系明顯存在. 綜合以上分析,難降解有機物的去除導致穩定運行階段BAC投加量與有機物去除率呈正相關關系.
2.3.3 微生物活性的提高
活性炭可以吸附水體中抑制微生物生長的有毒有害物質,提高微生物的活性,使其降解部分難降解有機物[6, 26]. BAC投加量大的反應器可以吸收更多的具有抑制作用的物質,為微生物提供更好的生長環境,使其在垃圾滲濾液的處理過程中具有較好的活性.
由以上分析可知,活性炭的投加量越多,吸附的有機物越多,處理效果越好,同時,吸附的有機物越多,導致生物再生量越多,生物分解的難降解有機物越多,這些因素都導致有機物去除量與BAC投加量呈正相關關系. 簡言之,生物再生是BAC能夠生物分解難降解有機物的根本原因,難降解有機物的去除導致穩定運行階段BAC投加量與有機物去除率呈正相關關系.
3 結論
(1) SBR反應器中投加活性炭構建的BAC反應器對垃圾滲濾液中COD的去除效果優于傳統SBR反應器,生物再生是BAC能夠生物分解難降解有機物的根本原因.
(2) CO2產生量表明BAC反應器比SBR反應器生物分解有機物量更多,并且BAC投加量越大,生物降解的有機物總量越大.
(3) BAC投加量與COD去除效果呈正相關關系,是影響垃圾滲濾液處理效果的重要因素.(作者及來源:河南師范大學環境學院, 黃淮水環境與污染防治教育部重點實驗室崔延瑞、郭焱、吳青、馬羅丹、孫劍輝、崔鳳靈)
