重金屬廣泛存在于工業廢水中,嚴重危害公眾健康和生態系統[1]. 吸附是處理重金屬的有效方法[2, 3],眾多吸附劑中含硫基團的吸附劑對重金屬親和力較強,如黃原酸酯,其制備簡單、經濟、具有高不溶性及高穩定性,因而被廣泛應用[4]. 許多原料可用于制備黃原酸酯,如木屑、廢煙梗、淀粉、麥秸稈[5]、廢煙草[6],真菌菌絲[7]、橘子皮[8]、殼聚糖[9]等. 主要反應為含羥基的有機物與CS2在堿性條件下生成含硫基團[4],如式(1)所示:

剩余污泥是廢水生物處理過程的必然產物,是由有機物殘片、細菌菌體、無機顆粒、膠體等組成的極其復雜的非均質體. 剩余污泥的處理、處置與資源化一直是污水處理面臨的難題之一. 一方面任意堆放占用大量土地并可能造成二次污染,另一方面污泥中的大量有益成分不善加利用又造成資源浪費. 如何避免二次污染,妥善經濟地處理或利用廢棄污泥是一個值得研究的問題[10]. 污泥的主要來源是細胞等生物體殘骸,含有大量的蛋白質、脂肪及纖維素[11],因此富含羥基,可作為制備黃原酸酯的底物,但目前鮮見相關報道.
本研究以污水處理廠廢棄污泥為原料制備黃原酸酯,以Cu2+為例,探究其對重金屬離子的吸附性能,該成果對于剩余污泥資源化利用,實現以廢治廢具有重要理論價值與實踐意義.
1 材料與方法
1.1 黃原酸化污泥制備
原始廢棄污泥為北京清河污水處理廠(主要處理生活污水)剩余污泥,通過流化床干化法制得. TCLP(toxicity characteristic leaching procedure)浸出毒性實驗表明該廢棄污泥為非危險廢物.
黃原酸化污泥制備參考文獻[7]的方法,根據原料特性,進行一定改變:取10 g廢棄污泥,加入40 mL CS2(國藥集團化學試劑有限公司,分析純)和50 mL 14% NaOH(北京化工廠,分析純)溶液,10℃下100 r ·min-1攪拌24 h,得到溶液在室溫下以5 000 r ·min-1離心10 min,去上清液,用去離子水反復沖洗沉淀,直到溶液呈中性,室溫下再次以5 000 r ·min-1離心10 min,去上清液,沉淀用丙酮(北京化工廠,分析純)和乙醚(北京化工廠,分析純)沖洗,室溫干燥備用.
1.2 污泥表征
用傅里葉轉換紅外光譜儀(Thermo scientific Nicolet iS5,美國)測定污泥官能團,樣品和純KBr以質量比1 ∶100進行壓片. 污泥比表面積用比表面積分析儀(Quantachrome ASIQM0000-3,美國)測定,粒徑用激光粒度儀(Microtrac S3500,美國)測定.
1.3 Cu2+溶液制備
取一定量CuCl2 ·2H2 O溶于去離子水中,配置成質量濃度為1 000 mg ·L-1的Cu2+溶液儲備液,用0.1 mol ·L-1鹽酸和0.1 mol ·L-1NaOH溶液調節pH.
1.4 批量吸附實驗
將一定濃度、pH的Cu2+溶液置于250 mL錐形瓶中,加入一定量干燥的原始污泥或黃原酸化污泥,固液比保持1 ∶750,置于恒溫搖床中(HZQ-80,中國),25℃,180 r ·min-1振蕩,每隔一定時間取5 mL混合液,過0.22 μm濾膜后用電感耦合等離子體發射光譜儀(ICP-AES,Spectro Arcoss Eop,德國)測定Cu2+濃度. 每組3個平行.
吸附動力學實驗中,稀釋Cu2+儲備液,配制成質量濃度為25、100和250 mg ·L-1的Cu2+溶液,加入等量的原始污泥或黃原酸化污泥,pH調節至5,在恒溫搖床中振蕩12 h.
在吸附等溫線實驗及Cu2+初始濃度影響實驗中,Cu2+初始質量濃度為25、50、75、100、125、150、200、250 mg ·L-1,溶液pH為5,恒溫搖床中振蕩3 h.
探究pH的影響時,Cu2+初始質量濃度為50 mg ·L-1的Cu2+溶液,pH分別為1、2、3、4、5(pH大于5.5時,銅會產生氫氧化物沉淀[12]),在恒溫搖床中振蕩3 h.
吸附容量和去除率計算見式(2)、(3):

式中,qt為t時刻的吸附容量,mg ·g-1; c0和ct分別為Cu2+初始濃度和t時刻的濃度,mg ·L-1; V為溶液的體積,mL; m為吸附劑的質量,g.
數據采用Origin 8.0及Sigma Plot 10.0分析作圖.
2 結果與討論 2.1 污泥表征
原始污泥、黃原酸化污泥及吸附銅離子后的黃原酸化污泥的紅外光譜如圖 1所示.

圖 1 污泥紅外光譜分析
原始污泥中,3 420 cm-1處的吸收峰由O—H伸縮振動產生,因為大分子化合物存在分子內和分子間氫鍵,說明原始污泥上存在“自由”羥基[8]. 2 924 cm-1處的吸收峰由C—H對稱和不對稱伸縮振動產生[13],這可能由原始污泥中多糖等物質含—CH3和—CH2. 另外,污泥在1 650 cm-1和1 542 cm-1處有吸收峰,1 660~1 630 cm-1和1 550~1 520 cm-1分別為酰胺Ⅰ帶和酰胺Ⅱ帶. 酰胺Ⅰ帶是羰基(C O)伸縮振動區,酰胺Ⅱ帶為C—N伸縮振動和N—H變形振動的組合,這可能是污泥本身所含蛋白和多肽類物質產生[14],蛋白質的—NH2面內振動會形成該吸收峰. 1 455 cm-1處的吸收峰為甲基和亞甲基所含C—H產生的彎曲振動峰[15, 16]. 1403 cm-1處是O—H面內彎曲振動峰[17]. 1 238 cm-1、1 033 cm-1處的吸收峰由C—O伸縮振動引起,進一步驗證了原始污泥表面羥基的存在[18],證明了黃原酸化的可行性[19]. 綜上,原始干化污泥中存在的基團種類主要有—NH2、—OH、C O、—CH2、—CH3、—CH2—OH、
,柳麗芬等[11]分析活性污泥的紅外光譜,也得到類似的結果.
黃原酸化污泥中,1 455 cm-1和1 403 cm-1處兩個峰消失,而在1 421 cm-1出現一個新的吸收峰,這可能是O—H與CS2及NaOH反應后C—H面內變性振動產生的峰[20]. 另外,黃原酸化污泥在674cm-1左右有較弱的吸收峰,是由C—S振動引起[19, 21, 22],2 528 cm-1處的微弱吸收峰由S—H振動引起[23],表明改性成功. 1 033 cm-1處吸收峰變寬,可能是C—S—S對稱伸縮振動峰與在C—O的伸縮振動峰在此處合并[9, 24].
吸附Cu2+后的黃原酸酸化污泥,2 528 cm-1處的吸收峰消失,表明吸附Cu2+的過程中有S—H參與.
通過對污泥粒徑及比表面面積測定發現,黃原酸化前后污泥粒徑和BET比表面積改變較小(粒徑分別為857.2 μm±7.8 μm 和657.8 μm±17.5 μm; BET表面積分別為5.482 m2 ·g-1和6.578 m2 ·g-1).
2.2 黃原酸化前后污泥吸附性能比較
當Cu2+初始濃度為25、100、250 mg ·L-1時,比較了黃原酸化前后污泥的吸附性能,具體比較結果如表 1所示.

表 1 黃原酸化前后污泥吸附性能比較
從表 1可見,原始污泥和黃原酸化污泥均可吸附Cu2+. 當Cu2+初始濃度為25~250 mg ·L-1時,相對于原始污泥,黃原酸化污泥吸附容量分別提高了20.6%~46.9%,去除率分別提高了25.3%~44.6%,且當Cu2+初始濃度為25 mg ·L-1時,黃原酸化污泥對Cu2+去除率最高(96.7%). 可見,黃原酸化污泥有作為重金屬離子高效吸附劑的潛質.
黃原酸化污泥吸附容量的升高可用Pearson定理解釋[18]. 根據該定理,軟堿更容易與重金屬離子形成穩定絡合物,而黃原酸酯是一種軟堿,因此相對于原始污泥,吸附容量有較大提升.
2.3 吸附動力學
2.3.1 黃原酸化污泥吸附動力學
用動力學模型考察黃原酸化污泥吸附Cu2+的動力學過程,其中準二級動力學模型對實驗數據擬合最好,如圖 2所示.

圖 2 吸附動力學及準二級模型擬合曲線
公式(4)為準二級動力學方程[3]:

式中,qe和qt分別為平衡吸附量和t時刻吸附量,mg ·g-1; k2為二級動力學吸附動力常數,g ·(mg ·h)-1.
經準二級動力學方程擬合后,可以得到黃原酸化污泥吸附Cu2+的吸附動力學擬合方程式,再經計算可得動力學擬合參數,結果如表 2所示.

表 2 吸附動力學方程擬合參數
從表 2可見,黃原酸化污泥吸附Cu2+過程的動力學擬合相關系數達到0.996 0以上,計算所得的最大吸附容量與實驗值基本相符.
2.3.2 黃原酸化污泥吸附速率主控步驟的確定
探究吸附速率控制步驟是研究吸附過程的重點之一. 對于固液吸附,一般可分為3個過程:①吸附質通過液膜從溶液遷移到吸附劑外表面,該過程稱為膜擴散(或外部擴散); ②吸附質從吸附劑外表面遷移到孔,該過程稱為顆粒內擴散(或內部擴散); ③吸附質被吸附到吸附劑內外表面的活性基團上. 吸附速率一般受外部擴散、內部擴散或兩者同時影響[25]. 本文采用菲克模型來描述Cu2+在微球體外表面和內表面的擴散[2]. 菲克模型如式(5)所示:

式中,q∞用qe代替mg ·g-1; Ra為微球體半徑,cm; De為擴散系數,cm2 ·s-1.
當Cu2+初始濃度為25 mg ·L-1,pH=5時,將qt/q∞(q∞用qe代替,qe為理論計算值)對t1/2作圖,如圖 3.

圖 3 菲克等式擬合
第Ⅰ個線性部分(R2=0.979 4)表示膜擴散過程,共15 min; 第Ⅱ個線性部分(R2=0.990 0)為顆粒內擴散過程,共30 min; 最后一個線性部分為吸附-解吸平衡過程,膜擴散過程和顆粒內擴散過程的時間比為1 ∶2,可見,黃原酸化污泥對Cu2+的吸附同時受膜擴散和顆粒內擴散兩過程控制,但顆粒內擴散過程占主導地位[2].
2.4 吸附等溫線
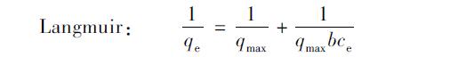
用Langmuir模型和Freundlich模型[1]擬合等溫實驗數據,結果如圖 4.

圖 4 吸附等溫線及模型擬合曲線
式(6)、(7)分別為兩模型計算公式:

式中,ce為平衡時溶液中 Cu2+濃度,mg ·L-1; qe為一定溶液濃度下的平衡吸附量,mg ·g-1; qm為單層吸附模式時的最大吸附量,mg ·g-1; b為吸附平衡常數,L ·mg-1; kF、n為吸附量相關常數.
經計算,兩模型的擬合參數見表 3,結合圖 4可知,Langmuir模型和Freundlich模型均能較好地描述吸附過程(R2分別為0.959 7和0.957 0),說明該吸附體系同時存在物理吸附與化學吸附[22].

表 3 等溫吸附方程擬合參數
Langmuir模型假設吸附位點數量是有限的,均勻地分布在吸附劑表面,且為單層吸附[26]. Webi等[27]曾提出一個獨立的平衡參數RL來表示該模型的本質特點以及可行性,RL介于0~1之間時表示吸附易發生,計算方法如式(8)所示:

式中,各字母含義與上文相同.
經計算,當Cu2+初始濃度為25 mg ·L-1時,RL=0.412 1,當Cu2+初始濃度為250 mg ·L-1時,RL=0.065 5,可知當c0在25~250 mg ·L-1時,RL處于0~1之間,表明黃原酸化污泥易吸附Cu2+.
另外,根據Langmuir模型擬合結果,黃原酸化污泥對Cu2+的最大吸附量為142.92 mg ·g-1(25℃,pH=5),相比于現有很多吸附劑具有明顯優勢,如表 4.

表 4 不同吸附劑對Cu2+吸附容量比較
Freundlich模型是基于不均勻表層吸附的經驗模型[2]. 1/n值介于0.1~0.5之間時,表示吸附性能良好[29]; 同時kF作為與最大吸附容量有關的常數,值越大,表示重金屬與功能基團的親和力越大[24]. 從Freundlich模型擬合得1/n=0.4507,kF=15.51,可推斷黃原酸化污泥對Cu2+有較強的吸附能力,與Langmuir模型擬合結果一致.
2.5 初始Cu2+濃度的影響
由于黃原酸鹽的吸附性能與溶液中重金屬離子濃度直接相關[22],因此本研究分析了初始Cu2+濃度對黃原酸化污泥吸附性能的影響,結果如圖 5所示.

圖 5 Cu2+初始濃度對吸附的影響
由圖 5可見,隨著Cu2+初始濃度升高,黃原酸化污泥吸附容量從8.68 mg ·L-1上升到103.66 mg ·L-1,去除率則從95.5%下降到81.4%. 這可能是因為對于一定量的吸附劑而言,其吸附位點是一定的,當溶液濃度達到一定值時,吸附劑對銅離子的吸附能力達到飽和,因此出現吸附效率降低; 并且在低濃度條件下,溶液中目標金屬離子與吸附劑的吸附位點接觸概率較大[30]. 在本實驗設置的濃度范圍內,黃原酸化污泥對Cu2+的去除率在80.0%以上,且當固液比為1 ∶750,用本研究制得的黃原酸化污泥處理初始Cu2+濃度小于150 mg ·L-1的模擬廢水3 h,出水可達GB 8978-1996三級標準.
2.6 初始pH對吸附量的影響
溶液pH通過影響吸附劑表面電荷和重金屬形態不同而影響吸附效果[18]. 溶液初始pH對黃原酸化污泥去除Cu2+效率的影響如圖 6所示.

圖 6 pH對吸附的影響
由圖 6可知,隨著pH升高,吸附速率增大,去除率也顯著增大. 當pH=1時,Cu2+幾乎不能被去除,當pH≥3時,Cu2+的去除率達到97.0%左右,這與文獻報道一致[8, 31, 32]. 原因可能是[31]:當pH較低時,H+相對于重金屬離子遷移性更強,競爭吸附位點,導致吸附量下降; 另一方面,當pH上升時,H+減少,吸附劑表面帶負電的配體增加. 低pH值時,吸附量低,也可能是因為吸附質在低pH值時的疏水行為,而當pH值升高時,重金屬溶解性下降. 另外,黃原酸基團在酸性溶液中不穩定,可從吸附劑上解離,解離分為兩步:首先是羥基質子化,然后是CS2減少. 由于重金屬離子是結合到黃原酸基團的S原子上的,因此S的減少會導致吸附量下降.
黃原酸吸附重金屬可通過離子交換、絡合或兩者同時進行[8]. 通過離子交換,兩個帶負電的S原子可以與一個二價金屬離子結合; 而絡合則發生于4個S原子和一個二價金屬之間. 例如有研究表明Pb2+在黃原酸上的吸附就同時包括離子交換和絡合[33],而無論哪種過程,都有S原子參與. Cu和Pb同屬于過渡金屬,Cu2+在污泥黃原酸上吸附可能存在類似Pb2+在黃原酸類物質上的吸附機制. 圖 1污泥紅外光譜圖中,吸附Cu2+后的黃原酸化污泥在2 528 cm-1處S—H的振動吸收峰消失,低pH值下吸附容量小,說明Cu2+在污泥黃原酸上吸附通過絡合或離子交換發生. 此外,吸附也可能通過靜電吸引實現[18]. 還有文獻報道黃原酸/二黃原酸具有一定還原性(氧化還原電位為-0.096 V[34]),因此,黃原酸脫除銅時,也有可能Cu2+先被還原為Cu+,Cu+再通過沉淀去除[19].具體參見 污水處理技術資料或污水技術資料更多相關技術文檔。
3 結論
(1)原始剩余污泥對Cu2+有一定的吸附性能,黃原酸化后,吸附性能有較大程度的提高.
(2)黃原酸化污泥對Cu2+的吸附在3 h內達到平衡,動力學符合準二級動力學模型,吸附速率同時受膜擴散和顆粒內擴散兩過程控制.
(3)黃原酸化污泥對Cu2+的等溫吸附符合Freundlich模型和Langmuir模型,吸附較易發生,最大吸附量可達142.92 mg ·g-1.
(4)隨著初始Cu2+濃度的增大,黃原酸化污泥對Cu2+的吸附容量上升,去除率下降.
(5)黃原酸化污泥對Cu2+的去除率隨pH(1~5)升高而升高.
(6)從吸附性能可見,用黃原酸化廢棄污泥可有效吸附重金屬離子,可實現廢棄資源的回收利用,實現以廢治廢.
