1 引言
天然水體環境中最基本的顆粒物體系是以粘土礦物微粒為骨架,通過聚集作用形成的土壤團粒.微粒由于具有較大的比表面積,因而能夠吸附金屬水合氧化物并與水中存在的一些有機高分子通過架橋作用發生團聚.這種聚集體還可以吸附結合水中的重金屬和離子、化學品等微污染物.
自1929年青霉素問世以來,抗生素在全世界范圍內得到了廣泛使用.美國在一項針對139條河流的水質狀況的研究表明,在河水中檢測出95種有機物,其中,31種常用抗生素中氟喹諾酮類、磺胺類、大環內酯類的最大值濃度能夠達到1.9 μg · L-1.在德國 Baden-Wuttemberg 地區 108個地下水樣品中,共檢測出 60種藥物,有 8 種藥物在至少3個樣品中被檢出,其濃度最高可達 1100 ng · L-1,檢出率最高達 20%.我國在香港維多利亞港與珠江中檢測多種抗生素,含量分別在70~489 ng · L-1與13~69 ng · L-1之間.
環境中抗生素藥物的長期存在,可能導致環境微生物群落結構發生改變,甚至可能破壞生態系統原有正常的新陳代謝模式,導致水體或土壤性質發生變化.磺胺類抗生素及氟喹諾酮類抗生素對水體中的綠藻有負面影響,而且可能經由植物吸收等途徑進入食物鏈,對人體健康構成潛在的威脅.青霉素、磺胺類藥物等易使人產生過敏和變態反應.
當前,關于抗生素的吸附研究主要集中在土壤和底泥等對抗生素的吸附方面.研究了26個土壤的理化性質對土壤吸附抗生素的影響.利用超聲波提取的方法測定了底泥中的14種抗生素,得出養殖場附近的河流底泥中抗生素如土霉素含量能夠達到9287.5 μg · kg-1.等檢測了海河底泥中的12種抗生素的含量,其中,磺胺泰噠嗪的含量高達481.85 ng · g-1.
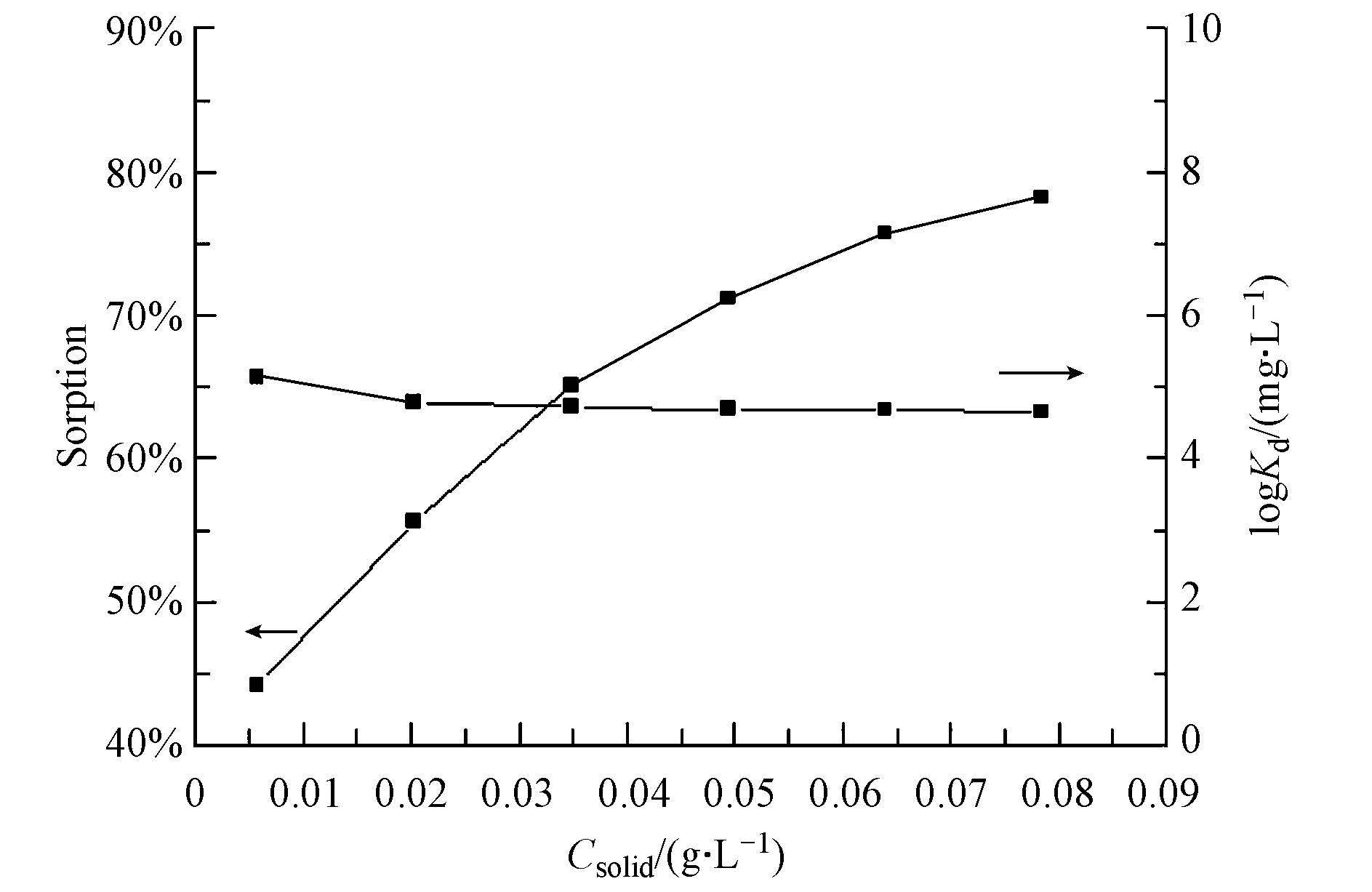
水體中抗生素種類繁多,它們在水處理工藝中的去除效果相差很大,可能是受到抗生素分子特性和物化性質的影響.目前,很少有人從分子角度對這些抗生素的去除、抗生素的物理化學性質及飲用水工藝進行結合分析.研究抗生素從進入自然水體到處于平衡狀態的過程中,各種抗生素的固、液相分配問題,對飲用水或者污水中的抗生素去除方法研究具有指導意義.因此,本文分析了水體中顆粒物對7種典型抗生素的吸附特征,通過環境掃描電鏡測定顆粒物的表面結構及元素組成,并采用高效液相色譜與質譜串聯(HPLC-MS/MS)的檢測方法對抗生素進行測定.
2 材料與方法
2.1 儀器與材料
超高效液相色譜-三重串聯四級桿質譜聯用儀(美國Agilent公司),VAC ELUT SPS 24固相萃取儀(美國Agilent公司),恒溫振蕩器(美國CRYSTAL),SB 25-12DTDN超聲波清洗儀(寧波新芝生物科技股份有限公司),N-EVAP氮吹儀(美國Organomation),OASIS HLB固相萃取柱(6 cc/500 mg,美國Waters),SAX陰離子交換小柱(3 cc/200 mg,美國Agilent),ZORBAX Eclipse C18柱(3.5 μm,2.1 mm×100 mm,美國Agilent),濾膜(聚四氟乙烯,0.22 μm、0.45 μm,47 mm,美國Pall;玻璃纖維,0.7 μm,47 mm,美國Whatman).
本文以河底沉積物及天然水體中檢出率較高的幾類人及獸用抗生素為研究對象,包括磺胺類:磺胺嘧啶(Sulfadiazine,SDZ)、磺胺甲噁唑(Sulfamethoxazole,SMX)、磺胺甲基嘧啶(Sulfamerazine,SMZ);甲氧芐啶(Trimethoprim,TMP);大環內酯類:羅紅霉素(Roxithromycin,ROX);喹諾酮類:氧氟芐啶(Ofloxacin,OFL)、恩諾沙星(Enrofloxacin,ENR)等,其標準品均購自德國Dr. Ehrenstorfer、西瑪通(100 μg · mL-1 in Methanol,美國Accust and ard),Caffeine-13C3(100 μg · mL-1 in Methanol,劍橋同位素實驗室),甲醇與乙腈(色譜純,美國Fisher),乙二胺四乙酸二鈉(優級純,美國Sigma),醋酸與醋酸銨(CNW,上海安譜科學儀器有限公司).
2.2 顆粒物樣品的制備
實驗中使用的環境掃描電鏡型號為XL-30 TMP,它配有常規的二次電子檢測器,氣體二次電子檢測器及X射線元素分析能譜儀,可以對固體、粉末、金屬、非金屬樣品進行表面形貌及元素分析.將一定量的天然水用0.22 μm濾膜進行過濾,得到顆粒物樣品用于進行顆粒物形態和成分分析.由于很難將天然水中的顆粒物從濾膜上完全分離下來,因此,在連續實驗中使用的顆粒物取自河邊的土壤.通過對兩種顆粒物樣品的環境掃描電鏡結果進行比較可知,兩種顆粒物的組成元素相似,各種元素的相對含量相差不大.顆粒物樣品在使用之前需要進行處理:將顆粒物樣品加入到濃度為4 mol · L-1的NaOH溶液中水浴加熱4 h,取出在120 ℃條件下烘干3 h.處理的顆粒物樣品進行環境掃描電鏡分析和吸附試驗.
2.3 標準曲線及抗生素樣品的制備
準確稱取上述7種抗生素標準品各0.0100 g,溶解到50 mL甲醇中,配制成濃度為200 mg · L-1的標準儲備液.分別取一定量的單標儲備液混合,用甲醇稀釋成濃度為10 mg · L-1的混標儲備液.Simeton用甲醇稀釋至10 mg · L-1.用初始流動相將混合標準液稀釋成混合標準溶液(10、20、50、100、500、1000 μg · L-1).稱取Na2EDTA、檸檬酸、Na2HPO4配制McIlvaine溶液;檸檬酸鈉和檸檬酸溶液配制成檸檬酸緩沖液,調節樣品的pH為4.7左右.
水樣在進行固相萃取之前,要將樣品的pH調至3~4左右,加入0.4 g Na2EDTA 以螯合水樣中的諸如Ca2+和Mg2+的二價離子,并且用濾膜過濾,然后過SAX-HLB萃取系統(固相萃取柱預先用5 mL甲醇、5 mL純水活化).固相萃取之后,用7 mL洗脫液(甲醇與乙腈比例為1 ∶ 4)洗脫,氮吹至近干,加入10 μL(10 mg · L-1)內標物Simeton,用初始流動相定容至1 mL.最后用高效液相色譜-質譜聯用儀器(HPLC-MS/MS)對樣品進行測定.
1 L超純水中加入濃度為1 mg · L-1的混合標準溶液800 μL,作為待測水樣.水樣中加入100 μL(1 mg · L-1)替代物Caffeine-C13,加入0.4 g Na2EDTA,然后進入SAX-HLB萃取系統.萃取后的HLB小柱分別使用不同的洗脫液進行洗脫,對比各種洗脫液對目標抗生素的回收率.回收率(D)計算公式如下:
式中,C1為加標試樣中測定濃度(ng · L-1),C0為加標濃度(ng · L-1).
2.4 色譜與質譜的測定條件
ZORBAX EclipseC18柱(3.5 μm,2.1 mm×100 mm,美國Agilent);流動相中的無機相為0.3%甲酸,有機相為甲醇與乙腈比例為1 ∶ 1的混合溶液.A為有機相,B為無機相.梯度洗脫的過程為:0~1 min,10% A;1~6 min,10%~88% A;9.5~11.5 min,100% A;11.5~15.5 min,100%~10% A;15.5~19 min,10% A.測定過程中Gas Flow保持在10 L · min-1,柱溫箱溫度為25 ℃,進樣量為10 μL,進樣帶洗針,流速為0.3 mL · min-1.
2.5 連續吸附實驗
反應器為恒溫水浴槽,保證反應體系的溫度在25 ℃左右.反應器中加入20 L水,向水中加入抗生素使其濃度約為800 ng · L-1左右,開始攪拌使反應器中的溶液混合均勻,此時取樣進行測定,記為反應的初始值.根據原水中顆粒物濃度,向水中投入0.416 g顆粒物,開始進行連續吸附反應,實驗在避光條件下進行,保持pH為7.0左右.實驗初始階段,每隔10 min取樣進行測定,1 h之后,每隔0.5 h取樣進行測定.
3 結果與討論(Results and discussion) 3.1 原水中顆粒物的特性研究
實驗中對天然水體中的顆粒物進行了表面形態的掃描,并對顆粒物的元素組成進行了測定.圖 1為天然水體中顆粒物樣品的環境掃描電鏡分析的放大圖像.由圖 1a可知,水體中的顆粒物粒徑不同,粒徑大的顆粒物數量較少;從圖 1b可以看出,原水中顆粒物大多是不規則的球體,顆粒物的微觀形狀有球狀、線狀、片狀和不規則形狀,而且長短也有區別.各個單體還可以聚集成絮狀、鏈狀、分枝狀等.不同形狀的顆粒物會影響顆粒物的特性和功能.顆粒物表面凹凸不平而且具有孔隙結構,使顆粒物能夠充分地與抗生素接觸,并且能夠大量的吸附抗生素.

圖 1 天然水體中顆粒物掃描結果(a.100倍,b.5000倍)
如表 1所示,利用環境掃描電鏡對顆粒物進行元素分析,結果表明,兩種顆粒物中含量最多的元素為O元素,因為大多數元素的存在形式都是氧化物;顆粒物中含有的礦質元素種類較多,其中,Si、Al元素的含量尤其多,說明原水顆粒物的主要類型為粘土礦物;Na、Mg的含量比較少.水體顆粒物中最常見的礦物是硅、鋁等的氧化物和氫氧化物,如Al2O3、SiO2等,它們在水中不論是晶體或是無定形狀態都在表面吸附著配位水,經過解離而形成大量羥基(—OH)官能團,構成烴基化的表面.通過相中顆粒物樣品的對比可知,兩種樣品的元素種類相同,存在形式相同,含量相差不大.上述分析結果與關于我國東部主要河流顆粒物的元素組成和粘土礦物的相對組成統計調查基本一致.
表1 顆粒物中各種元素的含量

3.2 抗生素測定條件及洗脫液的優化
色譜測定條件的優化過程主要為優化流動相,流動相分為有機相和無機相.圖 2中橫坐標為時間,縱坐標為峰的響應值.圖 2a中有機相為甲醇,無機相為0.1%甲酸;圖 2b中有機相為1 ∶ 1的甲醇與乙腈的混合液,無機相為0.3%的甲酸.圖 2a顯示,各種物質的峰沒有完全分離,有些峰發生了重合現象,SDZ的峰寬大于1 min,實驗過程中每次測定過程會出現延后現象,重現性較差.從圖 2b中可以發現,各種抗生素的峰圖分離較好,分離度R均大于1.5,各種物質的峰實現較好的分離,SDZ的峰較寬,峰寬接近0.7 min,可以用于定量,測定過程中同一個樣品連續3次進樣測定的重現性較好,相差不過3%.采用優化后的方法做7種抗生素校正曲線.實驗結果表明:在1~1000 μg · L-1的濃度范圍內,各種抗生素的可決系數均大于0.996(表 2).3倍信噪比為樣品的定性檢出限,10倍信噪比為定量下限.配制100、200和800 μg · L-1的標準溶液,分別連續進樣,計算峰面積的相對標準偏差(RSD)均小于2%,重現性較好,可以作為定量曲線.

圖 2 7種抗生素標準樣品色譜圖
表2 抗生素的校正曲線

目前,抗生素環境樣品前處理過程中使用的固相萃取小柱多為Waters公司的HLB 系列小柱.在實驗中,我們選用不同的洗脫液對樣品進行洗脫,如圖 3所示,使用純甲醇進行洗脫時,各種抗生素的回收率一般維持在70%左右,而且各種抗生素的回收率相差并不是很明顯;隨著混合溶液中乙腈含量的增加,洗脫效果基本是呈上升趨勢的;當甲醇的含量為20%時,各種抗生素的洗脫效果都很相近,變化幅度很小,所以甲醇含量為20%的洗脫液更適合.當使用純乙腈進行洗脫時,有些抗生素的洗脫效果已經超過了100%,說明這個時候的洗脫液容易摻雜雜質,對測定過程產生干擾.因此,甲醇含量為20%、乙腈含量為80%為最佳配比的洗脫液.

圖 3 不同洗脫液的回收率
3.3 不同濾膜對抗生素吸附的影響
實驗中選擇兩種不同材質(聚四氟乙烯和玻璃纖維)的濾膜分別測定其使用過程對抗生素測定的影響.如圖 4所示,濾膜的使用會對抗生素的測定產生影響.其中,聚四氟乙烯濾膜會對抗生素的濃度產生比較大的影響,除SMZ外,濾膜對其他抗生素的影響程度基本相差不大.玻璃纖維濾膜對各種抗生素的影響相差比較大,但相對于聚四氟乙烯濾膜來說,玻璃纖維濾膜對濃度的影響對比較小.因此,為了能夠更加精確地對抗生素進行定量,本實驗中選擇玻璃纖維膜作為濾膜.
圖 4(Fig. 4)

圖 4 兩種濾膜對測定結果的影響
3.4 抗生素的吸附動力學
抗生素類藥物在環境中的遷移轉化等過程都與抗生素物質的物理化學性質相關.表 3為實驗中幾種抗生素的物理化學性質.
表3 抗生素的理化性質

連續實驗的最初階段,實驗體系的濃度變化較快,設定每隔10 min取1次樣,1 h之后每隔0.5 h取樣,實驗持續3 h,取樣后立刻按照上述方法進行預處理,然后用HPLC-MS/MS進行測定.如圖 5所示,在實驗開始的20 min內,溶解態的抗生素濃度會快速降低;20 ~30 min內,抗生素的濃度不再減小,反而會有一部分上升,表明顆粒物在過量吸附了抗生素之后會進行解吸;試驗30 min之后,磺胺類抗生素會達到吸附平衡,甲氧芐啶也會達到平衡狀態,其余的幾種抗生素會接著進行吸附,但吸附速率大幅降低;在2 h之內,所有抗生素都會達到吸附平衡.3種磺胺類抗生素的吸附曲線的變化規律相似:從初始值開始,前10 min與20 min的吸附速率相同,20 min時達到吸附的最大值;解吸過程進行的很快,而且解吸比較劇烈,解吸后濃度很穩定,吸附與解吸速率變化不明顯,到達平衡時的吸附值與初始值相差不大.喹諾酮類抗生素ENR、OFL在吸附過程中的趨勢與磺胺類不同,從初始值開始,前20 min的吸附速率明顯比前10 min大,在20 min時吸附值最大,解吸10 min后沒有到達很穩定的狀態,在反應體系中吸附占優勢,抗生素的濃度仍在降低,濃度變化不是很明顯.ROX吸附曲線的變化趨勢與喹諾酮類抗生素保持一致.

圖 5 顆粒物對抗生素的吸附曲線(各個數據點為多次平行實驗的平均值,相對標準偏差RSD為0.72%~2.12%)
由表 4可知,顆粒物對不同種類的抗生素的吸附能力不同.從平衡吸附量一列可以看出:磺胺類抗生素SDZ、SMZ、SMX及TMP的pKa值都在6.48~7.20之間,平衡吸附量為1619~4190 ng · g-1;ENR、OFL、ROX的pKa值在7.70~8.44之間,平衡吸附量為11323~15568 ng · g-1.通過實驗可以發現,pKa值較大的抗生素的吸附量也會較大,而且pKa值越大,抗生素的吸附速率也隨之增快.從平衡時的液相比例可以看出,pKa較大的抗生素大部分都吸附在顆粒物上,因此,水中的比例都遠遠小于pKa較小的顆粒物,如ENR在顆粒物表面的吸附量超過了總量的84.350%.天然水體pH一般為弱堿性,當抗生素的酸度系數pKa與水中pH值相當時,抗生素一般會以負離子狀態存在.pKa值越大,抗生素分子以離子化形式存在的比例越低.認為混凝沉淀過程中 PPCPs 的去除率與其疏水性之間存在一定關系,Kow、pKa值越大,混凝對 PPCPs 的去除率越高研究也證明,pKa較大的抗生素更容易在混凝沉淀過程中被吸附在絮體表面,進而得到很好的去除.本文的實驗結果印證了上述觀點.
表4 連續吸附實驗結果

綜上所述,在飲用水處理工藝中,具有較大pKa值的抗生素由于會大量吸附在顆粒物表面,因此,可以通過去除顆粒物從而間接達到對抗生素較好的去除效果.而磺胺類等pKa值較小的抗生素只有很少的一部分被吸附,大部分都處于溶解態,因此,在水處理工藝中可以通過改變反應條件等方式有針對性地達到去除的目的.具體參見 污水處理技術資料或污水技術資料更多相關技術文檔。
4 結論
1)天然水體中顆粒物形狀不規則,而且具有孔狀結構,可以吸附水中的污染物.原水中顆粒物為含有Si、Al的粘土礦物,各種元素的存在形式為氧化物和氫氧化物.
2)連續吸附實驗在20 min時到達吸附最大,2 h時吸附到達平衡.由吸附曲線可知,具有較大pKa的抗生素的吸附速率也隨之增大,抗生素的平衡吸附量也與pKa值正相關,平衡時的吸附量由大到小的順序為:OFL> ENR > ROX> TMP> SMX> SDZ> SMZ.
3)具有較大pKa的抗生素能夠快速大量地吸附在顆粒物表面,在水處理過程中可以直接通過吸附反應得到去除.具有較小pKa的抗生素在顆粒物上的吸附量較少,在去除過程中需要對去除條件進行優化.
