1 引言
水體沉積物為許多底棲生物提供棲息場所,是水生生態系統的重要組成部分.研究表明,沉積物中污染物濃度通常是水溶液中的數百倍甚至數十萬倍.在適當的條件下,沉積物中的污染物會再次釋放到水體中,形成二次污染.重金屬作為沉積物中的一類主要污染物,具有毒性大、難降解、易被生物富集等特性,能經過食物鏈傳遞最后影響生態系統和人體健康.沉積物中重金屬的毒性不僅取決于重金屬的總量,更與沉積物中的賦存形態有關.Toro和Allen等認為水體沉積物中重金屬的重要結合相是酸可揮發性硫化物(AVS)、顆粒有機碳和鐵與錳的羥氧化物.在厭氧和缺氧的沉積環境中,AVS是控制沉積物重金屬生物有效性的關鍵形態,也決定了沉積物重金屬的毒性大小.
目前關于水相中重金屬對水生生物毒性效應的研究較多,而有關淡水沉積物中重金屬毒性與生物有效性的研究較少.國內有以大型蚤為受試生物,通過測定其體內的金屬硫蛋白和超氧化物歧化酶來研究重金屬Cd和Zn的聯合作用(張融等,2008);范文宏等也以大型蚤研究了水體-沉積物共存體系中Cd的毒性(范文宏等,2009).而趙艷民等以泥鰍死亡率、血液紅細胞數量等指標考察了沉積物中Cd的毒性效應.
本研究以淡水單孔水絲蚓和伸展搖蚊幼蟲作為受試生物,它們都是典型的底棲生物物種,被廣泛應用在生物毒性實驗中(付榮恕等,2008; 曾毅等,2012).搖蚊幼蟲還是美國環保總局(EPA)推薦的生物毒性測試物種.通過對沉積物進行Cu、Cd、Ni、Pb、Zn等5種重金屬染毒,分析沉積物中重金屬對水絲蚓和搖蚊幼蟲的毒性效應,探討沉積物中酸可揮發性硫化物(AVS)、同時可提取金屬(SEM)與毒性效應之間的關系.研究結果有助于了解沉積物重金屬對底棲生物的毒害效應,為建立基于生物毒性的沉積物質量基準提供有效數據.
2 材料與方法
2.1 沉積物的準備
歐洲環境毒理化學學會認為生物暴露試驗是評價沉積物中重金屬毒性的唯一可靠途徑(趙艷民等,2011).由于難以獲得大量重金屬本底值較低的天然沉積物,本研究按照Pasteris等推薦的方法(Pasteris et al., 2003),采用潔凈土壤模擬沉積物進行加標染毒.從天津市郊區農田采集潔凈土壤,經自然風干后,過40目篩以去除粗顆粒,將所得土壤按1 ∶ 1的體積比與經曝氣去氯的自來水混合并攪拌均勻,所得泥漿靜置一周,獲得與自然沉積物狀態相似的混合物質,加標染毒前棄去上覆水.
所用土壤的重金屬濃度值(測定結果見表 1)與國家標準進行比較,Cr、Ni、Cu、Zn、Hg、Pb的背景值達到我國土壤環境質量標準(GB 15618—1995)的一級標準,基本為自然背景水平,而Cd和As的濃度值高于一級標準,低于二級標準,基本不會對生物造成毒害作用.
表 1 實驗用土壤中重金屬含量(以干重計)
2.2 沉積物染毒
使用分析純的重金屬鹽試劑,用去離子水配制金屬離子濃度為1000 mg · L-1的標準儲備液.在250 mL的燒杯中放入平衡好的潔凈沉積物(約含干沉積物30 g),加入一定體積的重金屬儲備液,按1 ∶ 4的體積比在燒杯中加入上覆水進行混合,配制成含有不同濃度梯度的染毒沉積物,具體染毒濃度見表 2.用干凈的小木鏟攪拌1 h使混合均勻,然后靜止14 d.期間每隔3 d對加標沉積物充分攪拌1次,對照組沉積物除不加重金屬儲備液外按相同方式進行處理.
表 2 沉積物中重金屬的染毒濃度(以干重計)
2.3 生物測試
2.3.1 受試生物
淡水單孔水絲蚓和伸展搖蚊幼蟲均在實驗室長期培養馴化.本研究挑選健康受試生物用于毒性實驗.馴養及生物實驗用水為經48 h 曝氣除氯處理的自來水,pH 7.80~8.30,DO > 6 mg · L-1,電導率 900~1100 μS · cm-1,水溫(22.4±0.3)℃.
2.3.2 毒性試驗
選擇體長3~4 cm左右、環帶明顯且大小一致的健康成年水絲蚓,將它們放入裝有清水的培養皿中,進行24 h清腸.清腸后仍然健康的水絲蚓方可用于正式實驗.根據美國EPA底棲生物標準實驗方法(Liber et al., 2011;Mehler et al., 2011; Anderson et al., 2012)進行21 d毒性試驗.在每個燒杯中放入10只水絲蚓,每個濃度組設置5個平行.實驗過程中輕微曝氣,實驗溫度為(23±1)℃,光照比16h ∶ 8h,每周進行1次喂食.
根據美國EPA底棲生物標準實驗方法(EPA,2000;OECD,2004),使用二齡搖蚊幼蟲作為受試生物,24 h清腸后進行14 d毒性試驗.在每個燒杯中放入10只搖蚊幼蟲,每個濃度設置5個平行.實驗條件基本同水絲蚓,每隔3 d喂食1次.及時觀察記錄受試生物的活動情況、中毒癥狀和死亡情況等,用針刺激受試生物個體,無反應的視作死亡.試驗結束過篩后計算死亡個體.
2.4 AVS、SEM測定
采用美國EPA推薦的吹氣-吸收-比色方法測定沉積物中的AVS(雷琳,雷志丹,2009;孟妍等,2012).在氮氣保護的環境中,稱取3~5 g濕沉積物放于反應瓶中,與1 mol · L-1鹽酸溶液反應40 min.所生成硫化氫氣體隨高純氮氣轉移到吸收液(堿性醋酸鋅-醋酸鈉溶液)中,然后用亞甲基藍比色法測定其中的硫化物含量.
將提取完AVS剩下的泥水混合物離心,取上清液;往剩余沉積物中加入1 mL鹽酸(1 ∶ 1)清洗,離心,再取上清液;用蒸餾水清洗兩遍后離心;將離心所得溶液混合并過0.45 μm膜,然后用ICP-MS測定其中重金屬含量,即為SEM.將離心后的沉積物放入烘箱中烘干,稱重,即為樣品干重.
2.5 數據處理
試驗中所有數據均采用Excel 2007進行處理,對平均數做Pearson相關性分析,運用Origin 8.5作圖.平行樣中SEM的相對標準偏差均在10%以內.
3 結果與討論
3.1 沉積物中重金屬對水絲蚓的21 d毒性效應
在實驗過程中,上覆水pH值在6.98~7.87之間,DO值在3.4~4.9 mg · L-1之間.對照組的平均存活率為100%,其結果符合沉積物底棲生物實驗標準.分別以水絲蚓的死亡率和自斷率為毒性終點,實驗結束后過篩計算死亡個數,失蹤的個體按死亡計數.自斷率為發生爛尾、尾部斷裂的個體之和.
水絲蚓對5種重金屬的毒性反應類似,當沉積物中重金屬濃度較高時,水絲蚓出現急劇身體扭動且不鉆入沉積物中.隨著暴露時間的延長,水絲蚓身體彎曲抱團,對外界的刺激反應逐漸變得遲緩,最終失去逃避能力,身體由紅變白,產生自斷或糜爛直至死亡.當重金屬濃度降低時,水絲蚓的身體扭動反應減弱并有不同程度的延后,部分或全部水絲蚓鉆入沉積物中.
沉積物中重金屬(以干重計)對水絲蚓21 d毒性效應結果如圖 1所示.5種重金屬中Cd對水絲蚓的毒性效應最強.水絲蚓放入高濃度沉積物后立即開始劇烈扭動,在濃度25 mg · kg-1出現自斷現象,在50 mg · kg-1出現個體死亡;而在濃度400 mg · kg-1的沉積物中死亡率達70%,自斷率達88%.水絲蚓的死亡率和自斷率均隨Cd濃度增加而增大,與濃度均呈顯著正相關(p<0.01).沉積物中Cu和Ni也會使水絲蚓產生身體自斷和個體死亡,但其毒性效應略低于Cd.水絲蚓對沉積物中Pb和Zn的中毒癥狀較輕,沒有發現身體自斷現象,在較高濃度下會出現死亡.根據概率單位法計算,水絲蚓21 d半數致死濃度(LC50)和50%身體自斷效應濃度(EC50)結果見表 3.

圖 1 水絲蚓的毒性效應與沉積物中重金屬濃度的關系
表 3 沉積物中重金屬對水絲蚓21 d LC50和EC50值
根據水絲蚓的21 d LC50值可知,5種金屬對水絲蚓的毒性大小為Cd>Ni>Cu>Pb>Zn.本研究得出沉積物中Cd對水絲蚓21d LC50為281 mg · kg-1.有文獻報道,當沉積物中Cd的濃度高于60 mg · kg-1(8 d暴露實驗)時,水絲蚓(Limnodrilus udekemianus)會出現死亡情況(Deeds,1999).美國USGS給出Ni加標沉積物28 d對水絲蚓(Tubifex tubifex)無效應濃度為494 mg · kg-1.由于不同種受試生物對同種污染物的耐受能力相差較大,同時不同實驗室所采用實驗條件不同也會造成毒性數據的差異.總體來說,本研究的毒性結果基本與已有文獻相符.
付榮恕(2008)采用靜水生物測試法,研究了Pb、Cd單一及復合情況下對霍甫水絲蚓的急性毒性.單一Pb和Cd對水絲蚓24h LC50分別為7.096和31.621 mg · L-1,48 h LC50分別為4.731和23.441 mg · L-1.孫新元(2010)測定了水中Cu對顫蚓的毒性效應,其24 h LC50、48h LC50、72h LC50 分別為237.8、212.2、174.3 μg · L-1.由此可見,水體中Cu對水絲蚓的毒性要高于Cd和Pb,這與沉積物中幾種重金屬的毒性順序不同.這說明重金屬對生物的毒性與其在環境中存在的狀態有很大的關系.重金屬可以通過絡合等作用與沉積物中的組分發生結合,其結合態的生物可利用性決定了對生物的毒性.因而需要進一步研究討論沉積物中重金屬的生物有效性與底棲生物毒性的關系.
3.2 沉積物中重金屬對搖蚊幼蟲14 d毒性效應
在實驗過程中,上覆水pH值在6.98~7.87之間,DO值在3.4~4.9 mg · L-1之間.毒性效應采用死亡率和平均干重的抑制率為指標.生長抑制率為14 d毒性試驗后存活幼蟲的平均干重與對照組平均干重的差值的百分比.
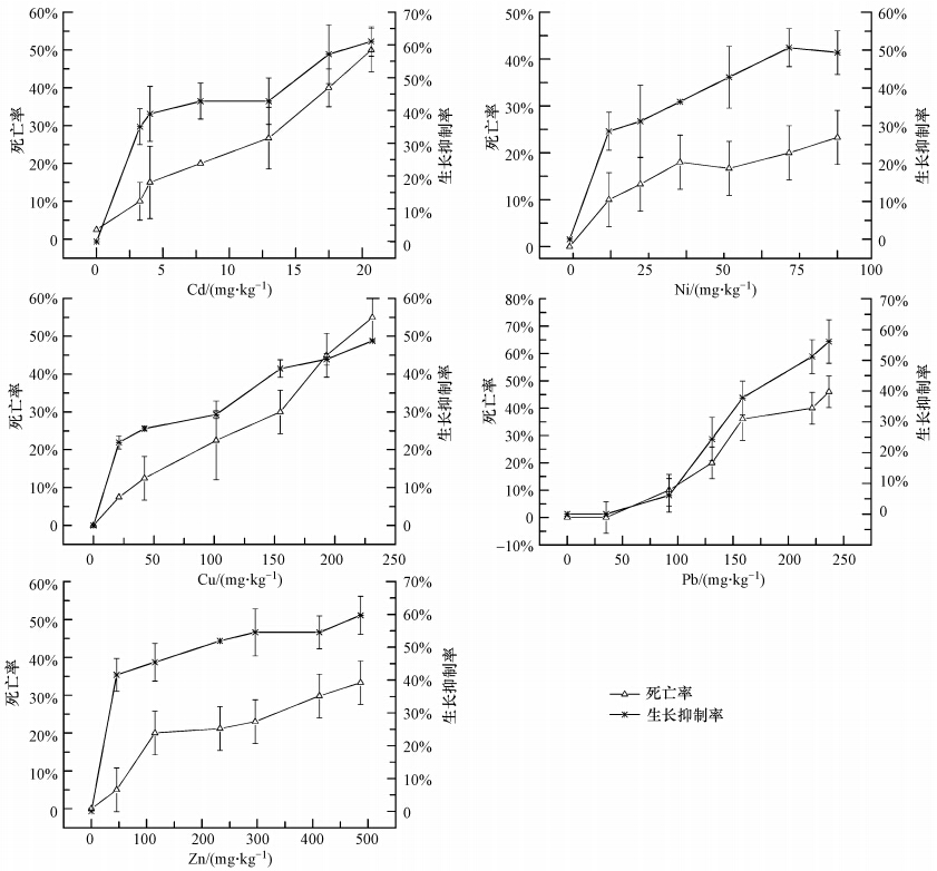
沉積物中重金屬對搖蚊幼蟲14 d毒性效應結果如圖 2所示.與水絲蚓的中毒癥狀相似,當沉積物中重金屬濃度較高時,搖蚊幼蟲會發生劇烈的身體扭動且不鉆入沉積物中.隨著暴露時間的延長,搖蚊幼蟲由開始的劇烈扭動逐漸變得行動遲緩,失去逃避能力,最終身體會變透明甚至死亡.當濃度逐漸降低時,搖蚊幼蟲會很快鉆入沉積物中,而且在沉積物中的挖洞行為逐漸變得活躍.但是,在一定重金屬濃度時,搖蚊幼蟲的生長明顯受到抑制.如圖 2所示,搖蚊幼蟲的死亡率隨重金屬的濃度增加而增大,呈現較好的相關性;而其生長抑制率也隨濃度增加而升高.同樣,對于搖蚊幼蟲Cd的毒性最強,在20.7 mg · kg-1時生長抑制率達到61%,死亡率達到50%.5種重金屬對搖蚊幼蟲14 d LC50和50%平均干重抑制效應濃度(EC50)結果見表 4.

圖 2 伸展搖蚊幼蟲的毒性效應與沉積物中重金屬濃度的關系
表 4 金屬對搖蚊幼蟲的毒性結果
由伸展搖蚊幼蟲的14 d LC50可知,5種加標金屬沉積物對搖蚊幼蟲的毒性順序為Cd > Pb ≈ Cu > Ni > Zn.Depledge和Rainbow(1990)認為,生物體對重金屬的敏感度和毒性作用受其本身對重金屬離子的吸收、累積和排泄的平衡調節決定.而Bidwell和Gorrie(2006)的研究表明水體理化性質,如溫度、鹽度、溶氧、pH等也會影響重金屬對生物的毒性效應.Klaas進行的淡水沉積物暴露試驗表明Cd在0.6~1030 mg · kg-1時 搖蚊幼蟲的存活率為46%~81%.得出Ni對搖蚊幼蟲的最低可觀察效應濃度(LOEC)為353 mg · kg-1,與本研究觀察到的致死率濃度基本相符.
除了Zn以外,其它4種重金屬的搖蚊幼蟲的LC50值都顯著低于水絲蚓,說明沉積物中重金屬對搖蚊幼蟲的毒性效應要強于水絲蚓,也就是說搖蚊幼蟲比水絲蚓對沉積物中重金屬更敏感.綜合考慮,搖蚊幼蟲更適用于監測沉積物中重金屬污染.
3.3 AVS與SEM之間的關系及對重金屬生物有效性的影響
沉積物中重金屬的不同存在形態決定著沉積物中重金屬的污染程度,即決定著沉積物中重金屬的毒性(曾毅,2012).研究表明,SEM/AVS的比值與沉積物中重金屬毒性有關,即當二價金屬離子的含量高于沉積物中S2-時會引起毒性作用(Di Toro et al., 1992b).Di Toro和Ankley認為,當SEM/AVS<1或SEM-AVS<0時,沉積物中重金屬對底棲生物基本不產生毒害效應;SEM/AVS>1或SEM-AVS>0時,沉積物重金屬對生物具有潛在毒性(Di Toro et al., 1992b; Ankley et al., 1996).本研究中沉積物AVS含量、重金屬SEM含量以及兩種底棲生物的毒性效應見表 5~表 6.
表 5 用于水絲蚓毒性實驗的沉積物中AVS、SEM測定結果(以μmol · g-1計)
表 6 用于搖蚊幼蟲毒性試驗的沉積物中AVS、SEM測定結果(以μmol · g-1計)
如圖 3所示,水絲蚓和搖蚊幼蟲的死亡率隨著SEM/AVS摩爾比值的增大而逐漸升高.當SEM/AVS值大于1時,除Cd外,重金屬對水絲蚓和搖蚊幼蟲的毒性效應比較明顯,這說明AVS確實是控制沉積物中重金屬毒性效應的關鍵因素.而Cd加標沉積物的SEM/AVS值雖然小于1,但其生物暴露實驗表明其加標沉積物具有較強的生物毒性.從圖 3可以看出,除了Cu和Cd以外,Pb、Zn、Ni對水絲蚓和搖蚊幼蟲的致死率與SEM/AVS比值之間表現出良好的一致性,進一步說明用SEM/AVS可以較好的描述沉積物中重金屬的生物可利用性,同時也說明它們對兩種底棲生物具有相似的致毒機制.
不同重金屬與沉積物中S2-結合作用的強弱不同,因此會表現出不同的生物有效性.Cd的硫化物溶度積(Ksp=3.6×10-29)比其他幾種重金屬硫化物的溶度積都要低,因此Cd的SEM/AVS值非常低(均小于1).然而,Cd仍對水絲蚓和搖蚊幼蟲均有較高毒性,說明Cd對底棲生物的毒性效應非常強,即使具有生物有效性的Cd濃度很低,仍然可能導致生物中毒.這也可能與底棲生物吞食沉積物的習性有關,沉積物中的AVS結合態Cd可以通過大量的吞食活動在其體內產生累積引起毒性.具體參見 污水處理技術資料或污水技術資料更多相關技術文檔。

圖 3 水絲蚓、搖蚊幼蟲的死亡率與沉積物中SEM/AVS的關系
4 結論
1)5種重金屬加標沉積物對淡水單孔蚓的21 d毒性順序為Cd > Ni > Cu > Pb > Zn;對伸展搖蚊幼蟲14 d毒性順序為Cd > Pb > Cu > Ni > Zn.搖蚊幼蟲比淡水單孔蚓對沉積物中重金屬更敏感.綜合考慮,搖蚊幼蟲更適用于監測淡水沉積物中重金屬污染.
2)當SEM/AVS>1時,除Cd外其余4種重金屬均對受試生物表現出較為明顯的毒性效應,用SEM/AVS可以較好地反映沉積物中重金屬的生物有效性.
3)目前關于沉積物中重金屬對底棲生物毒性效應的數據比較少,相關的理論也不成熟,急需開展相關的研究,為水體污染控制提供理論基礎.
?
?
?
?
?
?