1 引言
金屬硫化物礦山是我國重要的金屬礦山類型之一.在采、選、冶礦過程中,區域內地下水或地表水與礦石中金屬硫化物接觸,通過微生物對金屬硫化物的氧化作用而逐漸轉變為酸度強、Fe2+、Fe3+與SO2-4含量高,以及含一定量重金屬離子(As、Ni、Cd、Cr等)的酸性礦山廢水.酸性礦山廢水的排放嚴重污染了礦區周邊和下游水土環境,其所含的重金屬等污染物亦會通過土壤-植物系統進入食物鏈,進而威脅人體健康.
氧化亞鐵硫桿菌(A. ferrooxidans)對Fe2+生物氧化與石灰中和相耦合是一種具有發展潛力的酸性礦山廢水處理工藝.該工藝的Fe2+生物氧化階段不僅可以克服酸性礦山廢水中Fe2+難于自然氧化這一瓶頸,促進體系Fe離子在后續石灰中和過程中高效沉淀;而且Fe2+生物氧化階段產生的次生鐵礦物(黃鐵礬等)能夠對酸性礦山廢水體系中重(類)金屬離子產生吸附與共沉淀作用,進而降低酸性礦山廢水處理后排水中的重(類)金屬含量.鑒于此,提高體系Fe2+生物氧化速率及黃鉀鐵礬等次生鐵礦物合成效率(或總Fe沉淀效率)是利用該工藝處理酸性礦山廢水的關鍵所在.然而,不同季節溫度條件下,酸性礦山廢水處理工程運行中Fe2+生物氧化階段速率相差較大,尤其是在冬季低溫條件下,由于A. ferrooxidan 活性降低,體系Fe2+生物氧化緩慢.前人研究表明,體系Fe2+生物氧化和總Fe沉淀與A. ferrooxidans密度存在顯著正相關關系,即體系A. ferrooxidans密度越大,Fe2+生物氧化速率越快,總Fe沉淀效率越高.另外,Wang等研究證實,Fe2+的生物合成黃鐵礬體系中,合成的黃鐵礬表面會吸附有一定量的A. ferrooxidans菌體,且吸附于黃鐵礬礦物表面的A. ferrooxidans菌體對溶液中Fe2+有較強的生物氧化能力.同時,王敏等證實,初期引入的黃鐵礬亦可以作為“晶種”促進后續黃鐵礬的生物合成,提高體系總Fe沉淀效率.若將酸性礦山廢水處理過程中Fe2+生物氧化階段吸附有A. ferrooxidans菌體的黃鐵礬重新回流進入酸性礦山廢水體系,對提高不同溫度體系,尤其是低溫體系中Fe2+生物氧化效率與總Fe沉淀效率具有一定的應用潛力.然而,目前尚有部分科學問題尚未闡明.例如,吸附有A. ferrooxidans菌體的黃鐵礬在不同溫度下對體系Fe2+生物氧化速率與總Fe沉淀效率促進效果如何?不同溫度下所得到的黃鐵礬晶體形貌是否存在差異?形貌的改變是否會進一步影響黃鐵礬礦物的比表面積?此類相關問題的闡明可有效揭示黃鐵礬等礦物回流對酸性礦山廢水處理工程運行的實際意義,且利于指導不同季節溫度條件下工程運行中礦物回流量等相關參數的選擇.此外,不同體系所得黃鐵礬晶體形貌及比表面積差異亦能為酸性礦山廢水體系重(類)金屬去除行為提供必要的理論及參數支持.
鑒于此,本研究擬通過搖瓶實驗,在pH 約2.50的K2SO4(8 mmol · L-1)-FeSO4(160 mmol · L-1)-H2O富鐵酸性硫酸鹽體系(模擬酸性礦山廢水體系)中,在15 ℃和30 ℃兩個溫度水平下,探究附著A. ferrooxidans菌體的黃鉀鐵礬回流對體系Fe2+生物氧化與總Fe沉淀行為的影響,分析不同溫度體系所得到的黃鉀鐵礬的形貌及其比表面積,以期為酸性礦山廢水工程治理提供一定的參數支撐.
2 材料與方法
本研究所用化學藥品與試劑級別均為分析純級.試驗所需溶液均為用去離子水配制的新鮮溶液.所用三角玻璃瓶經過10% HNO3浸泡后,用去離子水清洗數次,55 ℃烘干備用.
2.1 氧化亞鐵硫桿菌(A. ferrooxidans LX5)來源與培養基
菌株來源:本研究所用到的氧化亞鐵硫桿菌菌株(A. ferrooxidans LX5,CGMCC No.0727)由南京農業大學固體廢物研究所提供,由中國普通微生物菌種保藏管理中心保藏.
培養基:本試驗A. ferrooxidans LX5馴化與培養所用到的培養基為改進型9K液體培養基(謝越等,2012;Liu et al., 2015).各無機鹽濃度(g · L-1)為:FeSO4 · 7H2O 44.2,K2HPO4 0.058,(NH4)2SO4 3.5,Ca(NO3)2 · 4H2O 0.0168,KCl 0.119,MgSO4 · 7H2O 0.583,用9 mol · L-1H2SO4調節pH至約2.50,4 ℃保藏備用.
2.2 氧化亞鐵硫桿菌(A. ferrooxidans LX5)接種液與附著微生物黃鐵礬的制備
在250 mL錐形瓶中,將A. ferrooxidans LX5菌株接種于150 mL改進型9K液體培養基中,之后將體系置于30 ℃恒溫振蕩器(ZD-85A型)中在180 r · min-1條件下振蕩培養,至微生物指數生長階段后期(體系Fe2+完全氧化,周期約2~3 d)停止培養并過濾.將過濾后的A. ferrooxidans LX5菌液15 mL再次接種于135 mL改進型9K液體培養基中,重復上述培養過程,如此循環3批.最后1批培養完成(第2批、第3批體系Fe2+在36 h即可完全氧化)過濾后得到的濾液為本試驗研究過程中所用的A. ferrooxidans LX5接種液,A. ferrooxidans LX5密度約為107 cells · mL-1,4 ℃保藏備用.
將15 mL A. ferrooxidans LX5接種液接種于135 mL pH約2.50的K2SO4(8 mmol · L-1)-FeSO4(160 mmol · L-1)-H2O體系,在30 ℃、180 r · min-1環境下培養至體系Fe2+完全氧化,后將培養液真空(P=-0.082 MPa)抽濾至無水滴出為止,得到的赭黃色沉淀即為本試驗所用的30 ℃環境中獲得的吸附有微生物的黃鐵礬(記為“MJ30”),經測定,抽濾后該黃鐵礬水分含量為11.4%.相類似,將上述體系在15 ℃、180 r · min-1環境下培養,得到的赭黃色沉淀為本試驗所用的15 ℃環境中收獲的吸附有微生物的黃鐵礬(記為“MJ15”),經測定,抽濾后該黃鐵礬水分含量為14.9%.
2.3 附著微生物黃鐵礬回流對不同溫度酸性硫酸鹽體系Fe2+氧化及總Fe沉淀的影響
在系列250 mL三角瓶中分別加入4 mL A. ferrooxidans LX5接種液,然后按如下方式設置4個處理:①處理1:在上述體系加入富鐵硫酸鹽溶液146 mL,其中,K2SO4與FeSO4摩爾濃度分別為8 mmol · L-1與160 mmol · L-1,用6 mol · L-1 H2SO4與6 mol · L-1 NaOH調節體系pH至約2.50,體系A. ferrooxidans LX5密度約為3×105 cells · mL-1,在30 ℃、180 r · min-1條件下振蕩培養(處理記為“CK30”);②處理2:在處理1的基礎上補充1.5 g MJ30,與處理1同條件下培養(處理記為“CK30+10 g · L-1 MJ30”);③處理3:體系無機鹽離子濃度與微生物接種量同處理1,15 ℃、180 r · min-1條件下培養(處理記為“CK15”);④處理4:在處理3的基礎上補充1.5 g MJ15(處理記為“CK15+10 g · L-1 MJ15”),與處理3同條件下培養.所有處理均設置3個重復.在培養過程中,每隔12 h定期監測各處理體系pH變化過程,且從體系均勻取樣1 mL,過0.22 μm濾膜,測定溶液中Fe2+與總Fe濃度,進而推算體系Fe2+氧化效率與總Fe沉淀效率.各處理體系Fe2+氧化完全時,對其培養液進行真空抽濾,收獲礦物.分析礦物礦相、形貌及比表面積等相關參數.
2.4 測定方法
溶液pH使用數顯式酸度計(pHS-3C,上海)進行測定.鄰菲羅啉比色法測定溶液中Fe2+、總Fe離子濃度.根據反應至t時刻與培養初期(0 h)溶液中Fe2+、總Fe離子濃度差異,計算體系t時刻Fe2+氧化效率與總Fe沉淀效率.礦物礦相通過X射線衍射儀掃描礦物特征衍射峰,出峰位置和強度與粉末衍射標準聯合委員會提供的JCPDS標準卡片相匹配,分析礦物礦相.利用熱場發射掃描電子顯微鏡(SEM,JSM-7001F)觀察礦物形貌.礦物的比表面積采用全自動比表面與空隙分析儀進行測定.
2.5 統計方法
使用Microsoft Excel 2003軟件對本研究所得數據進行統計分析,計算各組數據平均值及其標準偏差.使用Origin 7.5軟件對數據點進行制圖,并以平均值與標準偏差(誤差線)形式表示.
3 結果與討論
3.1 附著微生物黃鐵礬回流對不同溫度酸性硫酸鹽體系Fe2+氧化過程pH變化的影響
酸性硫酸鹽體系Fe2+氧化過程中pH變化能夠間接表征體系Fe2+氧化(耗H+行為)及Fe3+水解成礦(次生鐵礦物黃鉀鐵礬合成,產H+行為)發生過程.本研究中,附著微生物黃鐵礬回流對酸性硫酸鹽體系Fe2+生物氧化過程中pH變化的影響如圖 1所示.

?
圖1 附著微生物黃鐵礬回流對富鐵酸性硫酸鹽體系Fe2+生物氧化過程中pH變化的影響
從圖 1a可以看出,15 ℃對照處理(CK15)體系在0~48 h培養過程中,體系pH逐漸從初始時刻的2.50升高至2.81,之后緩慢降低至144 h時的2.40.附著微生物黃鐵礬的回流可在一定程度上促進體系pH降低.具體表現為,CK15+10 g · L-1 MJ15處理體系在0~24 h培養過程中,pH從初始時刻的2.50增加至2.74,之后逐漸降低至反應終態的2.24.前已提及,體系Fe2+氧化及Fe3+水解成礦過程分別調控著pH升高與降低幅度.可見,與對照相比較,附著微生物黃鐵礬的回流促進了體系Fe3+水解成礦的快速啟動.與15 ℃培養環境相比較,30 ℃環境中由于各反應階段Fe3+水解成礦作用要強于Fe2+氧化作用,各處理體系中pH未表現出升高的變化趨勢,而是呈現出近似線性的pH降低過程(圖 1b).30 ℃對照處理(CK30)體系pH與反應時間的變化關系為pH=2.54-0.0087t(R2=0.984).然而,當在30 ℃對照處理體系回流10 g · L-1附著微生物黃鐵礬時,體系pH在60 h時降低至1.85,pH與時間的變化關系為pH=2.50-0.0111t(R2=0.998).比較兩擬合直線斜率可知,在30 ℃培養環境中,10 g · L-1附著微生物黃鐵礬回流可使得體系pH降低速率提高27.6%.同時從圖 1a與圖 1b亦可以獲知,溫度的升高可大幅度降低體系pH.就不同溫度下對照體系而言,CK30對照體系在72 h時pH降低至1.89,而CK15對照體系在同一時刻pH卻為2.77.這一研究結果與他人研究結果相一致,宋永偉等(2013)研究發現,在pH=2~3,Fe2+為160 mmol · L-1(與本研究相同),溫度為10 ℃的酸性富鐵硫酸鹽培養體系,Fe3+水解成礦導致pH降低的過程十分微弱,而當溫度增加至28 ℃時,體系pH降低速率顯著.然而,需要指出的是,本研究15 ℃培養環境體系pH下降速率要顯著快于宋永偉等(2013)在10 ℃環境中培養A. ferrooxidans LX5得到的pH降低速率,雖然兩者體系溫度僅有5 ℃之差.
3.2 附著微生物黃鐵礬回流對不同溫度酸性硫酸鹽體系Fe2+氧化率的影響
氧化亞鐵硫桿菌A. ferrooxidans LX5是一種化能自養型微生物,其可以通過氧化Fe2+獲得生命活動所需要的能量來維持生長.故該體系Fe2+氧化速率可以間接表征體系A. ferrooxidans LX5生長情況及其活性.本試驗附著微生物黃鐵礬回流對酸性硫酸鹽體系Fe2+氧化率的影響見圖 2.
從圖 2可以得出,15 ℃對照處理(CK15)體系在0~144 h培養過程中,體系Fe2+氧化率呈現近似指數模型的增長趨勢.該體系微生物適應環境的停滯期較長(0~60 h),在0~60 h培養過程中,Fe2+氧化率不足10%,在144 h時達到46.7%.若在該體系回流附著微生物黃鐵礬,體系微生物停滯期明顯縮短,Fe2+氧化速率被有效促進.具體表現在,CK15+10 g · L-1 MJ15處理體系在132 h時體系Fe2+氧化完全,且Fe2+氧化率隨時間呈現近似線性的增加關系,擬合直線可表示為Fe2+氧化率E=0.7817t-2.64(R2=0.997).可見,附著微生物黃鐵礬回流可快速啟動低溫環境中Fe2+的生物氧化進程.筆者認為,這與附著微生物黃鐵礬回流可在一定程度上增加體系A. ferrooxidans LX5濃度有一定關系.王雅琴等(2010)研究表明,體系氧化亞鐵硫桿菌接種量較低時,Fe2+氧化呈近似指數緩慢增長模式,而增加氧化亞鐵硫桿菌接種密度,Fe2+氧化呈近似線性增加趨勢,與本研究結果相一致.30 ℃培養環境中,CK30對照體系與CK30+10 g · L-1 MJ30處理體系Fe2+完全氧化之前,Fe2+氧化率均隨時間呈現顯著線性關系.通過比較兩體系Fe2+氧化率隨時間線性擬合的斜率(圖 2b),可以得出,30 ℃培養環境中10 g · L-1附著微生物黃鐵礬回流能夠使得體系Fe2+氧化速率提高20.0%.綜上所述,溫度升高可促進富鐵酸性硫酸鹽廢水體系A. ferrooxidans LX5對Fe2+的生物氧化.例如,CK30對照體系培養過程中微生物適應環境所需停滯期幾乎可以忽略,體系Fe2+氧化率在72 h即可達到100%,而在CK15對照體系,該時刻的體系Fe2+氧化率僅為9.7%.同時,附著微生物黃鐵礬回流能促進不同溫度體系Fe2+的生物氧化過程,尤其是冬季低溫條件下進行酸性礦山廢水處理,附著微生物黃鐵礬回流顯得尤為必要.

?
圖2 附著微生物黃鐵礬回流對富鐵酸性硫酸鹽體系Fe2+生物氧化率的影響
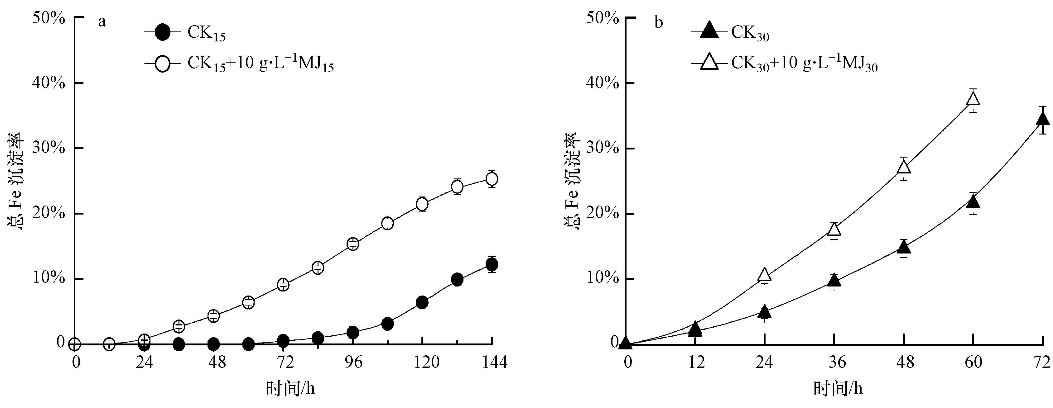
3.3 附著微生物黃鐵礬回流對不同溫度酸性硫酸鹽體系Fe2+氧化過程中總Fe沉淀行為的影響
富鐵酸性硫酸鹽環境中Fe2+氧化過程常伴隨次生鐵礦物的產生,其在合成過程中可吸附或共沉淀酸性礦山廢水中重金屬離子,Fe元素是構成次生鐵礦物的關鍵元素.同時,該環節總Fe大量沉淀,將會緩解后續石灰中和過程總Fe的去除負荷.因此,綜合考慮重金屬去除效果與后續體系Fe離子中和去除成本,總Fe沉淀率是該環節需要考慮的關鍵運行參數之一.本試驗中附著微生物黃鐵礬回流對酸性硫酸鹽體系Fe2+氧化過程中總Fe沉淀率的影響如圖 3所示.
?
圖3 附著微生物黃鐵礬回流對富鐵酸性硫酸鹽體系Fe2+生物氧化過程中總Fe沉淀率的影響
從圖 3可以看出,CK15對照處理體系前60 h培養過程中無Fe離子沉淀現象發生,96 h后,體系總Fe沉淀現象明顯,在培養過程結束時刻(144 h),體系總Fe沉淀率達到12.2%.CK15+10 g · L-1 MJ15處理體系在0~24 h培養過程中幾乎無Fe離子發生沉淀,在24~132 h 培養過程中,總Fe沉淀隨培養時間呈近似指數增加趨勢.在132 h(Fe2+完全氧化),總Fe沉淀率達到24.1%.在132~144 h培養過程中,體系中總Fe沉淀率小幅增加至25.3%.換言之,在15 ℃酸性富鐵硫酸鹽體系接入A. ferrooxidans LX5培養144 h后,10 g · L-1附著微生物黃鐵礬的回流可使得體系總Fe沉淀率提高97.5%.30 ℃培養環境中,CK30對照體系總Fe沉淀率在72 h(Fe2+完全氧化)時為34.3%,CK30+10 g · L-1 MJ30處理體系總Fe沉淀率在60 h(Fe2+完全氧化)時即可達37.3%.從圖 2b與圖 3b可以得出,在30 ℃培養環境中,Fe2+氧化率隨時間的變化趨勢近似線性,而總Fe沉淀率隨時間符合指數模式的增長模型.筆者認為,總Fe沉淀率隨時間的變化趨勢與體系Fe2+氧化速率(及Fe3+供應速率)有一定相關關系.柏雙友等證實,酸性硫酸鹽體系中Fe2+在24 h內氧化完全時,總Fe沉淀率與培養時間符合對數(前期快速-后期緩慢)增長模型.劉奮武等的研究結果表明,酸性硫酸鹽體系Fe2+氧化在48 h內完成時,體系總Fe沉淀率隨時間近似為線性增長模型.本研究體系,在30 ℃培養環境中,Fe2+在60~72 h氧化完全,體系總Fe沉淀率卻隨培養時間近似為指數(前期緩慢-后期快速)增長模型.綜上所述,酸性硫酸鹽體系Fe2+氧化過程中,隨著Fe2+氧化越快,總Fe沉淀率隨培養時間易呈現對數增長;相反,Fe2+氧化越慢,總Fe沉淀率隨培養時間易呈現指數增長.本研究15 ℃培養體系中,總Fe沉淀率變化亦為這一結論提供了較好的佐證.綜上所述,相對于30 ℃高溫條件,低溫條件(15 ℃)下,Fe2+氧化速率緩慢,總Fe沉淀率明顯降低.附著微生物黃鐵礬的回流可以通過提高體系微生物數量,引入“晶種”等作用,來顯著提高不同溫度體系Fe2+氧化效率與總Fe沉淀效率.并且,在低溫環境下這一促進效果尤為明顯.
3.4 附著微生物黃鐵礬回流對不同溫度酸性硫酸鹽體系合成次生鐵礦物礦相的影響
X射線光譜分析(XRD)是區分晶型礦物與非晶型礦物,鑒別礦物最常用的手段之一.本研究中,不同處理體系所得次生鐵礦物XRD衍射圖譜如圖 4所示.從圖 4可以看出,各處理體系所得礦物的XRD衍射圖譜幾乎一致.通過Jade5.0軟件的尋峰分析,并且將本研究礦物的XRD衍射圖譜與JCPDS(2002)所提供黃鉀鐵礬(No.22-0827)卡片的標準衍射峰進行比對,可知本試驗不同處理體系得到的次生鐵礦物均為黃鉀鐵礬物質,且本研究所得礦物XRD衍射圖譜與其它研究人員所得黃鉀鐵礬XRD衍射圖譜相一致富鐵酸性硫酸鹽體系Fe2+生物氧化過程中,體系首先合成的次生鐵礦物為無定型態的施氏礦物,之后施氏礦物轉化為晶型結構明顯的黃鐵礬類物質.本研究不同處理體系所得礦物的XRD衍射圖譜并未觀察到明顯的施氏礦物衍射峰.前人的研究結論為本試驗結果提供了較好的佐證,例如,Bai等在28 ℃、Fe2+濃度為160 mmol · L-1條件下得出,在Fe2+濃度為160 mmol · L-1、Fe/K摩爾比為10的酸性硫酸鹽體系中,15 ℃條件下合成的次生鐵礦物仍然是單一的黃鐵礬物質,而無施氏礦物產生.具體參見 污水處理技術資料或污水技術資料更多相關技術文檔。
?
圖4 不同處理體系所得礦物XRD衍射圖譜
3.5 附著微生物黃鐵礬回流對不同溫度酸性硫酸鹽體系合成次生鐵礦物形貌的影響
掃描電子顯微攝影技術(SEM)常用來觀察礦物的形貌特征.本研究不同體系所得礦物掃描電鏡照片及礦物比表面積見圖 5.從圖 5可以看出,CK15對照處理體系所得黃鉀鐵礬晶體表面光滑,粘附程度明顯,比表面積為1.80 m2 · g-1.當體系中回流附著微生物的黃鐵礬后,礦物形貌差別不大,比表面積也近似一致(1.85 m2 · g-1).CK30對照體系所得黃鉀鐵礬晶體棱角明顯,且較為分散,比表面積為5.22 m2 · g-1,然而附著微生物的黃鐵礬回流卻使得礦物晶體變得光滑,晶體粘附度增加,比表面積為1.77 m2 · g-1,降低了66%.此外,對比不同溫度下對照體系可知,CK30對照體系所得黃鉀鐵礬晶體比表面積為CK15對照處理體系所得礦物比表面積的2.9倍.筆者認為,不同體系Fe2+生物氧化速率與微生物分泌胞外多聚物差異可能是溫度調控礦物形貌及其比表面積的內在原因,本課題組將在后續研究中予以關注.
?
圖5 不同處理體系所得礦物SEM圖片
4 結論
溫度為15~30 ℃的富酸性硫酸鹽體系中,附著微生物(A. ferrooxidans)黃鐵礬回流可以顯著提高體系Fe2+氧化率與總Fe沉淀率.在Fe2+濃度為160 mmol · L-1、Fe/K摩爾比為10的硫酸鹽體系中,15~30 ℃溫度范圍合成的次生鐵礦物均為單一的黃鉀鐵礬,無施氏礦物出現.附著微生物黃鐵礬回流對15 ℃環境下黃鐵礬礦物形貌影響不大,為表面光滑的黃鐵礬晶體.然而,在30 ℃環境中,附著微生物黃鐵礬回流可將體系原本棱角明顯的晶體結構變得表面光滑,比表面積降低了66%.
