溶解性有機氮(DON)是原水中溶解性有機物(DOM)和溶解性總氮(TDN)的重要組成部分[1]。在飲用水生產過程中,氯化消毒極易使DON反應生成具有強“三致”作用的含氮消毒副產物(N-DB-Ps),包括鹵代硝基甲烷(HNMs)?鹵代乙腈(HANs)?亞硝胺等[2],嚴重影響飲用水安全,已受到越來越多的關注。由于這些副產物的前體物主要由NH類?氨基類?腈類?嘌呤?嘧啶?硝基化合物等組成,種類多?親水性強且分子質量小等[3],一般不易在常規給水處理工藝中被去除。Lee等[4]?劉冰等[5]?李偉等[3]?劉成等[6]的研究表明,在給水處理的常規混凝沉淀工藝中,DON的去除率只能維持在15% ~20%左右,且主要去除的是相對分子質量大的DON,而相對低分子質量的DON去除卻很少。活性炭作為一種應用廣泛的吸附劑,具有工藝簡單,操作方便的優點,對小分子有機物的吸附較為有效[7]。
氨基酸是飲用水原水中有機氮的重要組分,且氨基酸是水中小分子DON的典型代表,Shan等[8]對含天冬氨酸在內的12種有機氮化合物進行了氯化及氯化-臭氧實驗后發現,天冬氨酸在2種情況下均會產生一定量的HNMs。而王超等[9]的研究也表明,在20種基本氨基酸中,經氯消毒后天冬氨酸的鹵乙酸和鹵乙腈生成潛能均高于其他種類氨基酸。鑒于此,本研究選取天冬氨酸配置含小分子DON的模擬原水,采用椰殼活性炭作為吸附劑,通過實驗來考察其對模擬水樣中DON的吸附性能,分析pH 和吸附時間對吸附性能的影響,并通過吸附動力學?吸附等溫平衡以及吸附熱力學實驗,分析其吸附機理,旨在為有效去除飲用水中的DON提供理論依據。
1 實驗部分
1.1 實驗藥劑與材料
L-天冬氨酸:分析純,用于配置DON水樣;氫氧化鈉:分析純,用于調節水樣的堿度及總氮濃度的測定;鹽酸:優級純,用于調節水樣的酸度及總氮濃度的測定;過硫酸鉀:優級純,用于測試TN濃度;椰殼活性炭:12~20目,干燥,pH8~10,碘吸附值700~800mg/g,比表面積1100m2/g,灰分5%。
1.2 分析儀器
實驗采用的分析儀器有:CARY50紫外/可見分光光度計(美國Varian公司)?SHY-2A型水浴恒溫震蕩器(江蘇金壇市醫療儀器廠)?HQ11d型pH計(美國HACH公司)?實驗室超純水機(湖南科爾頓水務有限公司)。
1.3 實驗方法
1.3.1 活性炭的預處理
首先,將椰殼活性炭破碎后,依次過20?30目的篩網,取20~30目部分;其次,用超純水清洗3次,以去除灰塵及溶解性鹽類;其三,將活性炭放入燒杯中加熱煮沸2h,取出活性炭再用超純水清洗3次,將活性炭放入烘箱,在溫度105℃下烘干24h,然后密封備用。
1.3.2 模擬水樣的配置
根據實驗方案設計,利用L-天冬氨酸和超純水配置模擬水樣,模擬水樣DON質量濃度(以氮計)分別為1?3?4?5?6?7?8?9?10和20mg/L。按質量濃度分別裝瓶密封冷藏備用。
1.3.3 吸附實驗
根據實驗方案,取100mL設計質量濃度的模擬水樣放入250mL的錐形瓶中,加入預定量的活性炭,用封口膜封口后在溫度為303K?轉速為150r/min的水浴恒溫震蕩器中震蕩預定時間,然后取水樣過0.45μm濾膜后測定DON濃度。
1.3.4 吸附等溫實驗
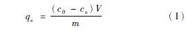
根據實驗方案,取100mL設計質量濃度的模擬水樣放入250mL的錐形瓶中,加入預定量的活性炭,用封口膜封口后在轉速為150r/min的水浴恒溫震蕩器中震蕩24h,然后取水樣過0.45μm濾膜后測定DON濃度。在實驗中,水浴恒溫震蕩器的溫度依序分別控制為303K?323K和343K。吸附平衡時的吸附量為
式中:qe表示平衡吸附量,mg/g;c0表示初始的天冬氨酸濃度,mg/L;ce表示吸附平衡時水樣中的天冬氨酸濃度,mg/L;m表示投加的活性炭質量,g;V表示水樣的體積,L。
1.3.5 吸附動力學實驗
分別取DON初始濃度為5?10和20mg/L的模擬水樣100mL,分別置于250mL的錐形瓶中,在303K?150r/min的水浴恒溫震蕩器中震蕩,分別在不同的時段取樣,過0.45μm濾膜后測定DON濃度。任一時刻t的吸附量為:
? 式中:qt表示t時刻的吸附量,mg/g;ct表示t時刻水樣中的天冬氨酸濃度,mg/L。
1.4 分析方法
DON濃度可采用差減法計算得到[10,11],即DON=TDN-NO-2 -NO-3 -NH+4 或DON=TKNNH+4 。本實驗由于采用的是模擬水樣,水樣中只有溶解性DON,故可采用堿性過硫酸鉀法[11]測得TN濃度作為DON濃度。具體參見污水技術資料更多相關技術文檔。
詳情請下載:椰殼活性炭對水中N-DBP前體物的吸附
